• 2.1. Космос
  • 2.2. Растущая Земля: из планет в звезды
  • 2.2.1. Как возникают планеты и звезды?
  • 2.2.2. Главная геологическая закономерность
  • 2.2.3. Особенности становления океанической коры
  • 2.2.4. Земная кора свидетельствует…
  • 2.2.5. Следствия роста Земли
  • 2.2.6. Земля среди небесных тел
  • 2.2.7. Заключение
  • Глава 2. Космос и Земля

    2.1. Космос

    Т. к. Человечество живет на планете, то его развитие тесно связано с ней и определяется направленностью развития планеты. Что ученые пишут о Космосе и планетах?

    В астрофизике накоплен колоссальный фактический материал о звездах, звездных скоплениях, галактиках и скоплениях галактик. Основные выявленные эмпирические закономерности следующие.

    — Звезды рождаются группами, не одновременно, процесс звездообразования продолжается и в настоящее время. Все планетно-звездные системы вращаются.

    — Очагами звездообразования являются звездные ассоциации — нестационарные быстро распадающиеся системы.

    — Уже начальные стадии развития звезд характеризуются вспышечной активностью, которая всё усиливается по мере эволюции звезды.

    — Звездные подсистемы развиваются независимо друг от друга.

    — Компоненты кратных групп и скоплений галактик возникают совместно и являются нестационарными системами.

    — Ядра галактик содержат тела незвездной природы и очень активны: взрывы, выбросы, истечения газов.

    — Явления нестационарности, активности нарастают при переходе от звезд, звездных групп, ассоциаций к галактикам, их скоплениям и сверхскоплениям.

    — Наше Местное сверхскопление галактик с центром в созвездии Девы диаметром около 100 млн. св. лет и толщиной около 60 млн. св. лет, на окраине которого находится наша Местная группа галактик, стремительно расширяется, а входящие в него группы и скопления галактик удаляются друг от друга. (По сути, оно и является нашей Вселенной как замкнутой самостоятельной системой).

    — Млечный Путь движется с огромной скоростью (500 км/с) одновременно в двух противоположных направлениях: к созвездию Водолея и к созвездию Льва! Т. е., он и вращается и расширяется.

    — Существует крупномасштабный поток галактик: «Оказалось, что не только наша Местная группа галактик и ближайшие к ней небольшие группы, но и всё Местное сверхскопление галактик, включая гигантское скопление в созвездии Девы, движется с большой скоростью относительно микроволнового фона. в сторону следующего по удаленности сверхскопления, расположенного в созвездии Гидра и Центавра. (которое) само движется относительно реликтового фона со скоростью даже большей, чем скорость Местной группы, и потому не подходит на роль Великого аттрактора. Кроме того, было обнаружено, что и другие сверхскопления, находящиеся в объеме сотни световых лет, также движутся с высокой скоростью относительно реликтового фона примерно в том же направлении» [Янчилин, с. 170–171].

    — Выбросы из ядер галактик формируют спутники галактик, свидетельством чего служат шлейфы из газа и звезд от ядер к спутникам (примером служит галактика М51 — Водоворот);

    — Млечный Путь и Туманность Андромеды вращаются почти в одной и той же плоскости, но в противоположных направлениях. И это также свидетельствует об их совместном происхождении и единстве как системы. А также подтверждает их поливихревую природу!

    — Парадокс Хаббла. «В ближайшей окрестности нашей Галактики, в объеме с радиусом в 20 Мпк, никакой однородности в распределении вещества нет. В мире галактик это свойство наблюдается лишь в масштабах 300 миллионов световых лет и более… Как при таких условиях здесь возможен регулярный космологический поток расширения с линейной зависимостью скорости от расстояния?. Остаётся лишь спросить: а имеет ли открытие Хаббла какое-либо отношение к космологии?. Но что поразительней всего, для этих глобальных космологических масштабов постоянная Хаббла имеет практически то же самое численное значение, что и в локальном объёме до расстояний всего в 10–20 Мпк. общая картина расширения выглядит так, как если бы глобальный космологический поток и в самом деле начинался прямо вблизи нас и, простираясь далее чуть не до горизонта мира, сохранял всюду свою кинематическую идентичность. Как же это может быть? Такова загадка, существующая в космологии со времён Хаббла» [Янчилин, с. 124].

    — Крупномасштабная структура Метагалактики напоминает рыбацкую ячеистую сеть, в узлах которой находятся галактики и их скопления, а внутри ячеек — пустота. Выявлено свыше 50 таких узлов (гигантских сверхскоплений галактик).

    Перейдем к гипотезам формирования планет и звезд. Можно выделить 6 гипотез формирования Солнечной системы.

    — Солнце и планеты возникли одновременно из общей пылегазовой туманности (Кант, Лаплас, Вейцзек-кер, Койпер, Юри, В. Г. Фесенков).

    — Планеты образовались из остатков туманности после возникновения Солнца (Си, Альвен, О. Ю. Шмидт, Эджворт, С. М. Айвазян).

    — Планеты сформировались в результате выброса газообразной массы из Солнца (Лейбниц, Бюффон, Муль-тон-Чемберлин, Джинс, Джеффрис, В. Г. Фесенков). Солнце при этом, конечно, формировалось из пыли и газа.

    — Солнце и планеты возникли в результате разуплотнения дозвездного сверхплотного материала (В. А. Ам-барцумян и его школа, В. Л. Янчилин).

    — Солнце и планеты возникли из вакуумных зародышей путем постоянного превращения вакуумной энергии в вещество, что предполагает рост планет и Солнца. Солнечная система сформировалась путем захвата прото-Солнцем случайно возникающих в разное время зародышей планет (И. О. Ярковский, В. Ф. Блинов).

    — Планетно-звездные системы являются единой генетической группой, возникают и растут закономерно из вакуумной материи в узлах расширяющейся икосаэдро-додекаэдрической решетки поливихря своей галактики (А. Ф. Бугаёв).

    Шесть гипотез есть проявление 3-х концепций: 1) генезис из готового вещества: пыли и газа; 2) генезис из готового сверхплотного вещества; 3) генезис вещества из вакуума (случайно — В. Ф. Блинов, или закономерно — А. Ф. Бугаёв).

    Модель Вселенной

    Физики уже давно пришли к выводу, что только теория вакуума даст предпосылки к построению единой теории, объясняющей основные закономерности микро- и макромира. Субстрат вакуума может иметь три основных состояния: а) свободное (слабо возбужденное), б) поляризованное (сильно возбужденное) и в) вакуумный конденсат (вырожденное). Помимо этого, вакуум в физике разделяется на "виртуальный" и "реальный". Первому можно соотнести свободное и поляризованное состояние, а второму (реальному) — вакуумный конденсат (электромагнитное поле с виртуальными частицами). Именно вакуумный конденсат является нулевым уровнем вещественной структуры Метагалактики. Он имеет полевую структуру, характеризующуюся непрерывностью и связностью, возникающую после перестройки виртуального, более глубокого уровня вакуума, происходящей в результате рождения из него Вселенной. Виртуальный вакуум характеризуется иным, дискретным и многосвязным, состоянием флуктуа-ций своего субстрата, почти абсолютно замкнутых и независимых друг от друга. Это определяет сверхбыструю непрерывную динамику флуктуаций. Характеристики флуктуаций виртуального вакуума (назовем их "план-кеоны" вслед за К. П. Станюковичем, а по М. А. Маркову — это "фридмоны") определяются предельными для вещественного СУОМ планковскими фундаментальными величинами (чему и обязано название "планкеон") и строятся из констант в, С, п.

    С позиций виртуального вакуума, насыщенного планкеонами (т. е. с позиций Абсолюта с зародышами Вселенных), наш вещественный мир с его средней плотностью в Метагалактике 10-29 г/см3 представляется сверхразряженным состоянием, мыльным пузырем в сверхплотной среде планкеонов. Объемный вид планкеонов как элементов суперпространства вакуума представляется ученым в виде тетраэдров, а их динамика характеризуется сдвигом и поворотом. То есть, пространство Абсолюта состоит сплошь (без пустот!) из тетраэдрических планкеонов, и оно меняется все целиком, сдвигаясь и проворачиваясь практически мгновенно (за t=10-43 сек), рождая вибрации (волны), «гуляющие» во всех направлениях в Абсолюте. Вот причина вечных вибраций Абсолюта! Рассмотрим динамику вакуума, используя метод "от обратного".

    Пусть уже существует Вселенная, которая взрыво-образно, квантовано непрерывно расширяет свой контур от точки на уровне первого структурного уровня организации материи (СУОМ) до точки на Вещественном СУОМ ("Большой взрыв") и до современных размеров (спустя 1820 млрд. лет). Все выбросы ее вещества превращаются, в конце концов, в электромагнитное поле, т. е. вновь возвращаются в вакуум. Таким образом, замкнутый контур стоячих волн вещества размыкается, скачком переходя в бегущие волны поля, а контур Вселенной в целом становится все шире. Виртуальный вакуум, точнее "домен", на базе которого возникла наша Вселенная, находится в своем "свободном", слабо возбужденном состоянии. Его верхняя граница, на которой находится Вещественный мир Вселенной, при этом характеризуется состоянием вакуумного конденсата, т. е. волновой пленкой своих колебаний, подобно пленке масла на поверхности океана.

    Планкеоны вакуума, поглощая электромагнитное излучение Вещественного СУОМ, сами до поры остаются почти идеально замкнутыми, не возбужденными энергетическими тетраэдрами. Вселенная, достигнув критического предела в раскрытии своего вещественного контура, скачком переходит в бегущие волны поля, исчезает для внешнего наблюдения ("Большой закат"), что является критической каплей для планкеонов данного домена. Растворение структур — это утрата информации, ибо структурность — синоним информации. Но так как этот вечный пульсационный процесс порождает одни и те же ряды структур, но со сдвигом в их параметрах, то кажется, что информация о предыдущем цикле творения не теряется, раз возникают те же структуры. Для раскрытия каждого планкеона, его сильного возбуждения, требуется положительная энергия в 1020 эрг. Возбуждение охватывает всю доменную область вакуума, при этом каждый планкеон выбрасывает энергию, на семь порядков превышающую энергию возбуждения, т. е. 1027 эрг [Станюкович]. Это возбуждение распространяется вглубь на все уровни вакуума и разрушает данный домен — основу данной Вселенной. Таким образом, вакуум из свободного состояния переходит в поляризованное, родоначальное состояние, в котором вновь формируется новый "зародыш" (вихревая система). В нем со временем на уровне "реального" вакуума будет возникать холодное первичное, сверхплотное, дозвездное, кварковое протовещество, которое будет служить ядром будущей новой Вселенной. Назовем это ядро "гравим". Но вначале в зародыше формируется эволюционная программа развития (ЭПР) Вселенной. Точка встречи двух потоков — низкочастотного (НЧП) и высокочастотного (ВЧП), — т. н. Центральная точка, Лайя-центр, Первичный центр эзотеристов (в нашей терминологии — гецен), преобразует возвратно-поступательные прямолинейные вибрации Абсолюта в двухспиралевидное вихревое движение, создавая свои "отображения" (т. е. те же точки-вихри), обладающие голограммным эффектом.

    Происходит смена в характере колебательных движений субстанции в данном домене: прямолинейное движение преобразуется в вихревое со спиралевидными волнами, которые на периферии замыкаются в стоячие, движущиеся по кругу. Смена состояния среды воспринимается как появление материи в ее двух модификациях: в виде поля и в виде вещества. Материя — не субстанция Абсолюта (Небытия), состоящая из планкеонов. Материя — это узор, паттерн волн этой субстанции. Голографические структуры из бегущих волн — это поле, а вещество — это стоячие, замкнутые вихреобразные колебания субстанции Абсолюта. И в силу этой вихреобразности она может описываться рядом таких категорий, как "пространство", "время", "структура", "организация", "информация" и т. д.

    Таким образом, существует лишь субстанция Абсолюта, колеблющаяся в трех состояниях, в трех режимах: 1) аматерии — прямолинейные возвратно-поступательные колебания во всех спектрах и направлениях частот, не создающие форм, структур; 2) материи — двухспиралевидные, вихревые колебания в определенных секторах частот и фаз, наложенные друг на друга, создающие "формы", "структуры", уровни организации типа "дух-душа-вещественное тело"; и анархеоса — переходного, хаотического состояния. Весь Проявленный мир (т. е. материальный) и его объекты — это лишь комбинации узоров колебаний, комбинации вихрей. Классическая физика не изучает субстанцию Абсолюта, она имеет дело лишь с набором ее колебаний. И каждый субъект/объект — лишь узор этих колебаний. Элементарный узор каждого СУОМ воспринимается как его первоначальный субстрат. Так что прав был Бергсон, говоря, что материя — это движение. Его недостаток — в отсутствии конкретизации, отсутствии классификации движения и указания, каков тип движения именуется "материей".

    В общем, то, что здесь выведено чисто логически, без "видения", эзотеристам было известно давно: «В не-проявленном состоянии космическая субстанция не утрачивает полностью движения, а находится в Вечной Вибрации, которая в проявленном состоянии изменяется в Спиральное Движение» — писала еще Блаватская. Но умолчала, что это именно двухспиралевидное движение, и не раскрыла его структуру.

    Но вернемся к нашему гравиму Он занимает весь объем домена и характеризуется свойствами частицы, являясь целостным однородным структурным образованием с икосаэдро-додекаэдрической силовой решеткой. Так как переход гравима с уровня вакуумного конденсата на Вещественный СУОМ происходит скачком и квантовано, то его проход сквозь планковские барьеры Вещественного СУОМ представляется как рождение из точки (Большой взрыв). Эта точка-гравим не рождается сразу в виде элементарных частиц, чтобы потом слипаться (по "стандартной модели" физиков), а начинает и далее разбухать, члениться, дифференцироваться и выбрасывать отпочковавшиеся части, т. е. вести себя как любой естественный организм Вещественного СУОМ. Возникают кварки-квазары, служащие ядрами будущих галактик, возникает вещество. Образуется эволюционный ряд от квазаров до галактик типа нашей, Млечного Пути [Воронцов-Веньяминов]. Вселенная — это почти бесконечная цепь взаимосвязанных явлений и событий. Свойственные этому процессу динамичность, нестационарность, взрывообразность, эмпирически отмеченные многими исследователями, — все это вытекает из динамики вихревой системы. Из нее же ясно, что Вселенные каждого сектора частот должны рождаться минимум парами ("Вселенная — Анти-Вселенная"), подобно парам "частица — античастица" вакуума. Такие диадные "майораты" должны отделяться друг от друга пограничными зонами Лейденфроста, что должно проявляться в метагалактических виртуальных эффектах, подобно эффектам между вакуумными диадами, отмеченным в справочных изданиях [Физика космоса].

    Из модели конуса вытекает, что взаимосвязи между объектами будут характеризоваться гиперболическими (между двумя полярными элементами), параболическими (между тремя элементами) и экспоненциально-степенными зависимостями. В этом разгадка их повсеместного распространения, смущающая не решивших ее физиков. Кстати, общеизвестная формула

    Е = mc2
    , выведенная за 15 лет до Эйнштейна Хевисайдом в 1890 году, а Газенорлем — в 1903 году (Фаррелл, с. 277), формально имеет параболический вид:
    y = ах2
    , где константой является именно масса (m), а не скорость (с). "Масса" есть интегральная характеристика размеров вихревой системы, в идеале — функция радиуса (R) замкнутого контура. Больше R, больше m при одной и той же плотности р.

    Пару слов о множественности миров. В физике гипотеза множественности миров связана с именами Хью Эвереста III, Джона А. Уилера и Нила Грэхелема. Гипотеза постулирует, что Вселенная расщепляется в каждое мгновение на бесконечное число вселенных. Благодаря этому множественному ветвлению актуально реализуются, хотя и в разных вселенных, все возможности, предусмотренные математическим аппаратом квантовой теории. Тогда Реальность есть бесконечность этих вселенных, существующих во всеобъемлющем суперпространстве. Поскольку отдельные вселенные не сообщаются между собой, не может быть никаких противоречий.

    Один и тот же объект включает в себя множество (хоть и не бесконечное) других объектов того же ранга, уровня, "мощности", сформированных разными секторами частот вещественного СУОМ и разными секторами разных СУОМ. То есть "система объектов данного рода" (по Ю. А. Урманцеву), включающая "объект-систему", может находиться в одном и том же объеме, а не только в разных объемах. Современная физика это могла бы вывести уже из теории солитонов или из опытов с ЛСД, когда по С. Гроффу, "любое число взаимопроникающих Вселенных различных порядков может быть увидено в холо-графическом сосуществовании".

    Концепция многомерности единичного объекта, множественности его состояний по всем параметрам: субстрату, процессам, структуре, функциям и т. д., объясняет феномен НЛО и некоторые экстрасенсорные свойства ("барабашки", вселение "бесов" и т. п.). Земля — многомерный мир по всем координатам. Эта многомерность по оси "у" осознана Д. Андреевым как Шаданакар, включая же и ось 'У (т. е. всю сферу многомерности), ее можно назвать Геюм. Описание в виде Геюма — это выявление следов (миров, слоев) Земли из других Вселенных, т. е. Земель, расположенных в пространствах других Вселенных, находящихся в таком же объеме Абсолюта, что и наша Земля. Систему множества Вселенных одного среза (измерения), распределенную в одном и том же "домене" Абсолюта, назовем Универсумом. Систему множества Универсумов в бесконечном срезе Абсолюта назовем Материальным миром (ММ). Систему множества переходов от Абсолюта к Вселенным (Универсуму) назовем Хаосом. Общую систему из Абсолюта, Хаоса и Материального мира будем называть Мир.

    2.2. Растущая Земля: из планет в звезды

    2.2.1. Как возникают планеты и звезды?

    Является ли планета живой самоорганизующейся системой, аналогичной биологическому организму или это мертвое тело, «снеговик», слепленный из пыли, газа, комет силами гравитации и электромагнетизма, строительная площадка для биосферы и человечества? Пока что в геологии (как и в космологии) господствует старая парадигма об образовании Земли (и других планет) путем слипания рассеянного газа и пыли (старый вариант) или комет и метеоритов (новый вариант) за счет гравитации с формированием железного ядра (как снеговик!). Это обусловливает неизменность радиуса, массы и объема планеты за весь период ее существования, который принят в 4. 5 млрд. лет, неизменность химических элементов и отрицание возможности их возникновения и трансмутации на планете, неизменность характера протекания геологических процессов. Жизнь планеты — породообразование, землетрясения, вулканизм, магматизм, перемещение материков — объясняется механически, за счет гравитации, тепловой конвекции, контракции (сжимающих сил остывающей планеты). Однако, как показал анализ Мауленова, все крупные эпохальные открытия в геологии — спрединг, гелиевое дыхание Земли, крупные газовые и нефтяные месторождения — сделаны вопреки старой парадигме! Тем не менее, альтернативная парадигма, объясняющая всё это, встречается в штыки. Суть ее заключается в том, что планеты и звезды составляют единый закономерный эволюционный ряд, начинающийся с вакуумного зародыша, где происходит превращение поля в вещество. Зародыш проходит путь от кометы до малых планет, планет земного типа, больших планет, которые потом переходят в разряд звезд главной последовательности на диаграмме «спектр-светимость» Герцшпрунга-Рессела. Этой концепции уже больше 100 лет, и она прекрасно подтверждается обширным эмпирическим материалом. Последней весомой работой из 1.5 тысяч публикаций на эту тему является монография В. Ф. Блинова «Растущая Земля: из планет в звезды» [Блинов]. Есть и другие революционные работы — французских гидрологов о возрасте планеты, низводящие цифру в 4.5 млрд. лет до 30 млн. лет [Чащихин].

    Вихревая модель рождения Вселенной из вакуума является "рамой" для построения теории звездно-планетных систем (ТЗПС). Эскиз ее сводится к следующему. В пространстве расширяющего гравима и его превращения в ряд: квазары — ядра будущих галактик — ядра звездных систем — массивные звезды, продолжают существовать остаточные, затухающие колебания субстрата домена. Эти колебания в узлах пучностей волн создают условия для появления зародышей вторичных вещественных объектов: метеоритов, комет — планет — звезд типа Солнце. Если узлы пучностей колебаний первого рода формируют крупномасштабную ячеистую структуру Метагалактики, то вторичные узлы пучностей колебаний домена создают планетно-звездную сеть. В этих узлах-зародышах происходит переход вакуумного поля в вещество, о чем писал еще 100 лет назад И. О. Ярковский, т. е. переход бегущих волн открытого электромагнитного поля вакуума в замкнутый контур, в стоячие волны. Физики уже моделируют аналогичным образом элементарные частицы. Вещество (замкнутый контур) в этих узлах сразу же начинает расширяться, размыкать контур как за счет поглощения излученного вещества среды Вещественного СУОМ, так и из самого вакуума. Поскольку кривизна контура воспринимается как масса, то это выглядит не только как увеличение расстояний между зародышами, но и как увеличение их массы, рост тел. Каждый зародыш, создавая уже свои колебания, создает и свою, вторичную, сеть микро-зародышей (спутников или вторичных планет), ячейка которой имеет вначале тетраэдрическую форму. Закон "элементарной ячейки", выведенный для геологического уровня, — это отражение всеобщего закона.

    Попытка осмыслить устройство реального мира на основе представления о трех основных состояниях материи была предпринята в конце ХIХ в. нашим соотечественником И. О. Ярковским. В работе Ярковского прослеживается смысловое подобие с известным выражением

    Е = mc2
    , на основе которого построена современная атомная энергетика. Он предполагает, что энергия создает массу, что энергия эфира преобразуется в вещество планеты. Что противоречило тогдашним устоям физики. Ведь, по Канту, Солнце и планеты образовались из газа, пыли и метеоритов, т. е. из готового вещества, предварительно сотворенного или образовавшегося где-то за пределами Солнечной системы.

    Впоследствии гипотеза Канта неоднократно модернизировалась, дополнялась многими исследователями (П. Лаплас, Г. Юри, Д. Койпер, К. Ф. Вейцзеккер, О. Ю. Шмидт, В. С. Сафронов, Э. В. Соботович и др.). Однако все модернизированные гипотезы основывались на тех же принципиальных предпосылках, принятых Кантом, которые во всем согласовывались с представлениями И. Ньютона. Главными предпосылками в данном случае является существование пустоты и готового вещества. Одинаковые предпосылки неизбежно приводили к аналогичным результатам: планеты формировались из готового вещества почти в законченном виде. Незначительные отличия модернизированных гипотез формирования планет Солнечной системы от гипотезы Канта и друг от друга позволяют условно называть их кантовскими. Гипотеза Канта-Лапласа оказала большое влияние на развитие всего естествознания. Ее исходные предпосылки легко можно обнаружить в самых модернистских космогонических концепциях. Однако с точки зрения теории познания предпосылки для гипотезы происхождения Солнечной системы, принятые Кантом, являются некорректными. Некорректные предпосылки, естественно, не могли способствовать созданию приемлемой гипотезы или теории происхождения Солнечной системы. Именно неудовлетворенность многими положениями кантовских гипотез была причиной их многократной модификации и многовариантности. Некорректность кантовских гипотез, множество их вариантов создали негативную познавательную ситуацию как в науках о Земле, так и в космогонии.

    Геологам давно известно, что из недр Земли идет тепловой поток. Температура горных пород увеличивается с глубиной. Поэтому обоснованно считается, что недра Земли горячие. Для Луны и малых планет, у которых массы малы по сравнению с Землей, длительное время (почти до средины ХХ в.) существовал иной подход. Считалось, что все малые планеты и спутники являются остывшими холодными телами. К остывшим небесным телам относили даже такую массивную планету как Юпитер, в основном, из-за того, что эта планета расположена далеко от Солнца.

    Представления о холодных малых небесных телах изменились только после обнаружения Н. А. Козыревым признаков вулканической деятельности на Луне, что свидетельствовало о её горячих недрах. К. А. Куликов и В. Б. Гуревич оценили температуру лунных недр величиной 1100 °C и отметили существование лунотрясений. Представление о горячих недрах малых спутников подтвердилось также после запуска к этим небесным телам искусственных летательных аппаратов. Так, с помощью космических аппаратов достоверно установлено, что на спутнике Юпитера Ио действуют вулканы, а другие малые спутники этой планеты тектонически активны. Что же касается Юпитера, то путем измерений его излучения было установлено, что он излучает больше энергии, чем получает ее от Солнца. Но почему малые спутники планет в Солнечной системе не остыли за 4.5 млрд. лет, прошедших после их образования? Этот феномен остается неразрешимой загадкой в рамках кантовских гипотез о возникновении Солнечной системы. В то же время горячие недра растущих небесных тел — это их естественное состояние.

    И чем больше накапливается наблюдательного материала, эмпирических данных, тем больше возникает не-решаемых проблем.

    Одна из таких космогонических проблем возникла из-за того, что невозможно было объяснить зонной плавкой оболочечное строение Земли и ее химический состав. В этой связи и В. А. Рудник, и Э. В. Соботович предложили идею дифференциации исходного вещества Земли еще на стадии существования протопланетного облака и его конденсации в прото-Землю в порядке расположения слоев, выявленных в современном земном шаре. Но такая схема не учитывает того факта, что Земля — двойная система. Исходное протопланетное облако, если бы оно существовало, вращалось бы вокруг общего центра масс современных Луны и Земли. Никакого разделения на слои для Луны и Земли в таком гипотетическом прото-облаке произойти не могло. Поэтому для образования слоистого строения планет необходимо искать совершенно иные механизмы.

    Факт молодости и процветания Галактики вызвал к жизни совершенно естественное представление о постоянном образовании звездных систем. Однако, несмотря на огромное число звезд в Галактике (-1011), никто не наблюдал рождения звездных систем. Это означает, что небесные тела появляются каким-то иным путем, они возникают "ненаблюдаемым" способом, а именно тем, который естественно следует из концепции растущей Земли.

    При анализе сведений о Солнечной системе невозможно пройти мимо пояса астероидов, расположенного между орбитами Марса и Юпитера. Согласно легенде, пояс астероидов возник при разрушении гипотетической планеты Фаэтон. Общая масса тел, составляющих пояс, приблизительно равна массе Марса. Совершенно очевидно, что такая сильно разреженная масса вещества, обращающегося вокруг Солнца, не сконденсировалась и никогда не сконденсируется в планету. В этой связи возникает вопрос: могло ли вещество протопланетного облака, еще более разреженное, сконденсироваться в планеты и спутники планет, намного меньшие Марса? Конечно, нет.

    Абсурдность идеи образования планет путем конденсации проявляется буквально на каждом шагу. В этой связи нельзя не вспомнить появление вполне реального мнения о том, что звезды не образуются из газа и пыли, а пыль и газ являются продуктом разрушения звезд. По этому поводу К. П. Станюкович писал: "В настоящее время еще не вполне ясно происхождение как газовых туманностей, так и межзвездной газовой среды. Весьма возможно, как показывают исследования В. А. Воронцова-Вельяминова, что поставщиками межзвездной материи являются сами звезды".

    Кантовские гипотезы, недостоверные в принципе, являются составной частью геологической парадигмы, они оказывали и оказывают негативное влияние на всю познавательную ситуацию в геологии. По сути дела, науки о Земле, опираясь на эмпирические сведения, не имеют надежного теоретического фундамента. Это обстоятельство делает всю познавательную ситуацию в геологии негативной. Вывод, сделанный И. П. Шараповым после тщательного анализа основных представлений наук о Земле: «Мировая геологическая наука пришла сейчас в состояние стагнации, выход из которой откроет только научная революция» [Шарапов, с. 28]. Таков результат функционирования в геологии недостоверных кантовских гипотез.

    Геология, однако, имеет существенное преимущество по сравнению с другими науками, так как она изучает реальные структуры и процессы на обширном естественном полигоне, именуемом Землей.

    2.2.2. Главная геологическая закономерность

    Земля — очень сложная термодинамическая система, состоящая из ряда геосфер (оболочек), в которых постоянно протекают физико-химические процессы и ядерные реакции, преобразующие вещество Земного шара. Наиболее изучена самая верхняя оболочка Земли, называемая земной корой. Земная кора отделяется от нижележащей мантии границей Мохоровичича. Толщина (мощность) земной коры составляет 10–15 км в океанах и до 80 км на материках. Основной особенностью земной коры является ее латеральная структурно-возрастная неоднородность (анизотропия). По этому признаку и по мощности кора Земли естественно разделена на континентальную кору и океаническую. Материковая кора состоит из трех условных слоев: осадочного, "гранитного" и "базальтового". В океанической коре "гранитный" слой, как правило, отсутствует. Кора океанов двухслойная.

    Систематическое изучение земной коры началось на материках. Сведения о земной коре, вначале разрозненные, уже к концу ХІХ в. были объединены геосинклинальной теорией. Дальнейшее накопление сведений о земной коре континентов и их осмысление осуществлялось на основании геологических карт, которые к середине ХХ в. отразили всю поверхность Земного шара. Именно на геологических картах континентов была обнаружена латеральная возрастная и структурная неоднородность земной коры. Карты содержат огромную информацию о мощности коры, ее строении, породном и элементном составе, возрасте, слоистости, расположении структур в разрезе и по латерали.

    Большое значение геологическим картам придавал Н. С. Шатский, отметив, что геологическая карта «… есть важнейшее эмпирическое обобщение в геологической науке». Карты не содержат индивидуальных мнений, они являются результатом работы огромной армии исследователей. Поэтому карты дают достоверную и устойчивую во времени информацию. В подтверждение своей мысли Н. С. Шатский сравнивал современные карты и созданные 100 лет назад. Современные карты оказывались лишь уточненными, но не содержали принципиальных изменений.

    На картах континентов учеными были выделены сравнительно древние участки коры, так называемые щиты, в составе которых были обнаружены самые древние площади — архейские ядра щитов. Щиты континентов, в свою очередь, являются составными частями обширных зон континентов — платформ. При всем этом была обнаружена тенденция охвата ядер щитов структурами самих щитов и затем платформами с явным уменьшением возраста пород и минералов от ядер щитов по направлению к океанам. Такая картина расположения структурно-возрастных зон материковой коры закономерно привела многих ученых к мысли о растянутом во времени становлении коры континентов, к длительному ее формированию путем увеличения площадей континентов.

    В разработке идеи разрастания материков принимали участие многие исследователи. Среди них Н. С. Шатский, В. И. Попов, Е. В. Павловский, В. Г. Бондарчук, Дж. Вильсон, Н. П. Семененко и др. Эту идею развивали М. С. Марков, Б. Г. Лутц, Н. П. Васильковский, А. М. Гудвин, Л. П. Свириденко и др. Согласно концепции разрастания материков земная кора континентов возникла в результате преобразования первичной симатической (лунной) коры, образовавшейся в догеологическое время. Понятие о первичной коре лунного типа, естественно, связывалось с некорректными кантовскими гипотезами образования Земного шара.

    Первые участки необратимого преобразования первичной коры, в ходе протекания геосинклинальных процессов, появились на месте современных ядер архейских щитов. Затем процесс преобразования постепенно охватывал все новые площади. Преобразование коры в межъядерных зонах спаяло структуры щитов; затем к щитам поэтапно причленялись участки современных платформ, а к последним — площади геосинклинальных областей в порядке их современного возрастного деления.

    Становление континентальной коры сопровождалось протеканием тектоно-магматических и термохимических процессов, характерных для геосинклинальных циклов. Поскольку геосинклинали закладывались в разное время и на различных участках, в том числе на площадях с преобразованной сиалической корой, то сочленения возрастных зон коры оказались самыми разнообразными: постепенное причленение молодых структур к старым; вклинивание молодых структур разного возраста в древние поля преобразованной коры; отторжение ранее консолидированных участков, так называемых срединных массивов. Одновременно на фоне хаотического расположения возрастных зон, в пределах платформ и подвижных геосинклинальных областей прослеживается тенденция омоложения участков коры с удалением их от ядер щитов и по мере приближения к океанам. Эта тенденция связана с миграцией геосинклиналей от центральных частей платформ к их периферии, т. е. к океанам, что хорошо согласуется с самой идеей разрастания материков и с представлением о необратимом характере развития земной коры.

    При анализе становления континентальной коры была выявлена очень важная закономерность: образование структурно-возрастных зон континентальной коры происходило ускоренными темпами. Эта закономерность прослеживается при тщательном рассмотрении тектонических карт континентов. Н. С. Шатский ускоренный процесс становления материковой коры отобразил графиком (рис. 13), на котором рост платформ (составных частей континентов) представлен восходящей кривой. При анализе зависимости Шатского Р. К. Клиге аппроксимировал ее фанеройский участок квадратической функцией времени. Подтверждая эту зависимость, В. Е. Хаин с соавторами привел численные данные о глобальных скоростях роста площадей континентов, которые в байкальскую, каледонскую и киммерийскую фазу складчатости составляли соответственно 0. 05, 0.1 и 0.2 км2/год. Эти цифры подтверждают ускоренный латеральный рост континентов.



    Процесс формирования континентов, ускорявшийся во времени, предопределил характер и направленность сопряженных с ним геологических явлений и породил целый ряд следствий, тоже прогрессирующих во времени. Геология располагает многочисленными свидетельствами прогрессирующего развития основных геологических процессов, коррелирующих с ускорявшимся ростом континентов. Однако ни закономерность Шатского, ни коррелирующаяся с ней информация об ускорении геологического развития, ни сама идея разрастания континентов не могли быть адекватно поняты и оценены в рамках ортодоксальной геологической парадигмы, так как они противоречили кантовским гипотезам. Эти кажущиеся противоречия стали роковыми для концепции разрастания материков по первичной коре лунного типа. Процесс банкротства концепции разрастания материков по первичной коре ускорили исследования океанов.

    Рассматривая длительный, необратимый процесс становления континентальной коры, Н. П. Васильковский назвал этот глобальный процесс главной геологической закономерностью. Она действительно главная, так как освещает и характеризует основную проблему геологии — образование земной коры на временном интервале в первые миллиарды лет земной истории. С главной геологической закономерностью связаны все сопутствующие и последующие тектоно-магматические и геологические процессы, в том числе генезис полезных ископаемых.

    Главная геологическая закономерность — это эмпирическое обобщение зафиксированных на континентах геологических процессов, демонстрирующих становление земной коры путем поэтапного разрастания континентов. Казалось бы, эмпирическая основа представлений о росте площадей континентальной коры неоспорима, идея должна была бы укреплять свои позиции со временем, распространиться на образование коры океанических секторов Земли. Однако этого не произошло по причине деструктивного влияния некорректных кантовских гипотез образования Земли.

    Как ранее отмечалось, Земля, по Канту, образовалась сразу в полном объеме с последующим возникновением на всей поверхности первичной симатической коры лунного типа. Поэтому полагали, что первичная кора начала преобразовываться на месте расположения современных континентов. И процесс преобразования дошел лишь до границы океан-континент. Поскольку достоверных сведений о структуре и возрасте коры в океанах до середины ХХ в. не было, то считалось, что процесс преобразования лунной коры на океанические просторы еще не распространился, что коровый слой океанов должен быть представлен первичной, очень древней корой лунного типа. Каково же было удивление ученых, когда исследованиями дна океанов (сейсмозондирование, бурение, изучение осадочного чехла, драгирование, магнитометрия, подводные аппараты) было установлено, что кора океанов — относительно молодое образование! Ее возраст нигде не превышал 200–220 млн. лет.

    Идея разрастания материков по первичной коре могла функционировать, пока не было сведений о возрасте океанической коры. Когда же появились достоверные данные о молодом возрасте океанических областей, который не соответствовал теоретическим положениям, концепция разрастания материков оказалась в логическом тупике. Ее эмпирическая основа — постепенное становление материковой коры в ходе развития планеты — осталась без надлежащего теоретического объяснения. Эта слабая сторона концепции стала причиной того, что при изучении океанического ложа в 60-х годах ХХ в. возник интерес к другим представлениям о процессах в коре и литосфере. Появилась тектоника плит (плейттектоника), а концепция разрастания материков потеряла былую популярность.

    Трагедия идеи разрастания материков по первичной коре усугубилась тем, что первичной коры нигде обнаружено не было. В то же время первичная (лунная) кора — умозрительное представление кантовских гипотез — являлась важной предпосылкой идеи разрастания материков. Отсутствие первичной коры подорвало здоровую эмпирическую основу концепции, и она лишилась поддержки большинства ученых.

    Идеей разрастания материков по первичной коре не удалось решить проблему становления всей земной коры. Но тот вклад, который она внесла в решение проблемы земного корообразования, навсегда останется достоянием геологической науки. Основной вывод идеи о постепенном и длительном становлении наблюдаемой материковой коры является эмпирическим обобщением и не может игнорироваться при дальнейшем изучении Земли. Порожденная процессом корообразования структурно-возрастная зональность материковой коры, акселерация образования корового слоя должны стать фундаментом для теории формирования всей земной коры (океанической и континентальной). На этот прочный фундамент опирается концепция растущей Земли.

    Идея разрастания континентов при росте Земли возрождается с новой силой. Она не только возрождается, но и усиливает свои позиции объяснением многих загадочных явлений. Так, на древних платформах широко распространены авлакогены — структуры растяжения в сиалической коре, выполненные мощными толщами осадков. На Земле постоянных размеров остается непонятным, почему сиалическая кора должна была растягиваться без эквивалентных зон складчатости — компенсации растяжения. На увеличивающейся Земле авлакогены — нормальное явление, обеспечивающее увеличение площади континентов, их разрастание вширь, по латерали. При этом происходит всплывание легкой сиалической коры.

    Как правило, основанием древних авлакогенов служит сиаль, что объясняется медленным растяжением коры в авлакогенах. Более быстрое растяжение коры приводит к ее разрывам и обнажению подкоровых симатических пород. Таковы впадины внутриконтинентальных и краевых морей: Каспийская, Черноморская, Охотоморская и др. Богатый материал, проливающий свет на генезис Каспийской и Черноморской впадин, как структур растяжения земной коры, собран и тщательно проанализирован Э. И. Алихановым и Д. А. Туголесовым с соавторами.

    Падение интереса к идее разрастания континентов и недооценка главной геологической закономерности — это поучительный пример того, как не следует поступать при решении фундаментальных научных проблем. Дело в том, что после концепции разрастания материков, внимание геологов и геофизиков было обращено к новой глобальной тектонике, или тектонике плит. Такой поворот событий в научном сообществе означал полное игнорирование эмпирических сведений, составляющих основу идеи разрастания материков и главной геологической закономерности, и безудержное признание кантовских гипотез, на которых основывалась плейттектоника.

    Однако в теории познания любая гипотеза — это весьма зыбкий, ненадежный элемент знания. Отсюда вытекает требование: предпочтение в научных исследованиях следует отдавать экспериментам и эмпирическим сведениям, а не гипотезам. Однако справедливое требование теории познания выполнено не было. Вместо того, чтобы подвергнуть критике гипотезу Канта-Лапласа, многие члены научного сообщества предпочли принять тектонику плит, а фактически — оправдать некорректные кантовские гипотезы, что усугубило негативную познавательную ситуацию в геологии и привело к стагнации, по образному выражению И. П. Шарапова, "мировую геологическую науку".

    2.2.3. Особенности становления океанической коры

    Латеральная структурно-возрастная зональность, присущая материковой коре, оказалась неотъемлемой характеристикой корового слоя океанов. Эволюционирующие во времени (растущие) системы обязательно оставляют зримые следы прошедшего развития. Например, на срезе древесного ствола можно проследить историю постепенного увеличения его площади по толщине и количеству годовых колец. Картина наращивания площадей на древесном стволе является аналогией разрастания и материковой, и океанической коры. Только на океанских просторах эта аналогия проявляется более наглядно. Наглядность разрастания (спрединга) океанического дна обязана существованию в океанах срединно-океанических хребтов (СОХ), причудливо опоясывающих планету.

    Срединно-окенические хребты — это протяженные поднятия океанической коры, как правило, с рифтовой долиной в осевой части хребта. В результате комплексного и всестороннего изучения этих структур были получены неопровержимые свидетельства их образования в результате выдавливания вязкого вещества верхней мантии к земной поверхности и последующего раздвигания его в стороны новыми порциями внедряющихся мантийных пород. Этот процесс увеличения площадей океанической коры получил название спрединга океанического дна. По причине постоянного наращивания площадей в обе стороны от срединно-океанических хребтов, эти хребты С. У. Кэри назвал камбийными (по аналогии с древесным слоем камбия, обеспечивающим рост годовых колец).

    Как только были открыты процессы разрастания океанического дна в срединно-океаническиххребтах, возникла «тектоника плит» — идея дрейфа океанической коры от хребтов по направлению к материкам с последующим "нырянием" огромных коровых плит под континенты. Идея дрейфа океанических плит восходит к гипотезе А. Вегенера, согласно которой от праконтинента Пангея откололись Северная и Южная Америки и начали двигаться на запад, формируя, таким образом, Атлантический океан.

    Но гипотеза Вегенера оказалась нереальной, так как каменные материки не могут двигаться по такому же каменному основанию. По этой причине плейттектоника — тоже нереальная умозрительная гипотеза. Совершенно не случайно известные геологи С. Кэри и М. Гораи назвали субдукцию — процесс "ныряния" плит под континенты, определяющий все построения теории тектоники плит, — мифом, выступив на конференциях в Москве и в Сиднее.

    О «тектонике плит» весьма негативно высказывались видные отечественные ученые.

    Так, академик Смирнов В. И. писал: "… рассуждения о том, что все разнообразие магматических пород и эндогенных рудных месторождений возможно объяснить по способу заталкивания океанических плит под континенты относятся к категории мифических. Они не должны уводить нас в сторону от анализа реальных историко-гео-логических условий развития как магматизма, так и металлогении" [Смирнов, с. 25]. «Тектонику плит» критиковали многие, заслуженно упрекая ее в механистичности, в метафизичности, в использовании мифического представления о субдукции, в немыслимых конвективных движениях в мантии, во многих других грехах и заблуждениях, но ее главное заблуждение оставалось за пределами критики. Оно заключается в том, что в основе тектоники плит лежит ложная в целом геологическая парадигма с главным некорректным ее элементом — кантовскими гипотезами образования Земли и неизменностью её размеров, её радиуса. Поэтому закономерно А. М. Мауленов оценил «тектонику плит» как". еще один тупик теоретической мысли в геологии".

    Разрастание океанического дна в стороны от срединно-океанических хребтов — это реальная схема, которая использована «тектоникой плит». Она подтверждается рядом признаков: расположением полос магнитных аномалий, увеличением мощности осадков с удалением от хребта, увеличением возраста пород, подстилающих осадки при удалении от оси хребта. И все это коррелируется с возрастом чередующихся магнитных аномалий. Но вторая часть «тектоники плит» — субдукция, т. е. ныряние плит в магму, — ничем не подтверждается. Это стало очевидным после создания геологических карт океанического ложа, на которых четко прослеживались зоны океанической коры различных возрастов, и после результатов глубоководного бурения с кораблей в местах предполагаемой субдукции.

    Карты — это уже не предположения «тектоники плит», согласно которой возрастные зоны коры должны иметь симметрию относительно осей хребтов и уходить под континенты в строгом порядке: сначала древние участки площадей коры, а затем меньшего возраста. На картах океанического ложа во многих случаях положения «тектоники плит» не выполняются. В некоторых желобах (Курило-Камчатский, Алеутский) молодые участки коры оказались ближе к желобу, а старые — дальше от него. Такая картина означает, что желоб не является местом погружения океанической плиты. В данном случае желоб явно выполняет роль одностороннего рифта, выталкивающего мантийное вещество и наращивающего площадь океанического дна. Такое явление названо Ю. В. Чудиновым эдукцией, оно противоречит «тектонике плит» и свидетельствует о фиктивности субдукции.

    На картах нанесены участки новообразованной коры, совершенно не связанные со срединно-океаническими хребтами. Такие участки коры возникают путем растяжения океанического дна, получившего название рассеянного спрединга. Рассеянный спрединг характерен для краевых морей, в которых отсутствуют срединно-океанические хребты. Довольно много участков рассеянного спрединга обнаружено в Индийском океане. Разновидностью процессов, увеличивающих площади океанов, являются плюмажи и их подземные аналоги — астенолиты.

    Генерация новых площадей океанической коры происходит не только вкрест простирания срединных хребтов, но и по простиранию, путем их растяжения. Неизбежность растяжения срединных хребтов теоретически была показана С. У. Кэри и Ю. В. Чудиновым. Продольное растяжение срединных хребтов наглядно проявляется на примере Африки и Антарктиды, от которых удаляются хребты, опоясывающие эти континенты. При удалении от этих континентов срединные хребты неизбежно увеличивают свою длину. Наблюдаемые признаки продольного растяжения срединно-океанических хребтов, которые противоречат «тектонике плит» и игнорируются ее адвокатами, приведены в работе И. А. Соловьевой.

    Изучение мест генерации новой океанической коры показало, что спрединг — это появление новых площадей латеральных структур океанической коры, которых раньше не существовало. Выяснилось также, что разрастание площадей земной коры может происходить не по первичной (лунной) коре, а в ходе появления новой планетной поверхности, которой раньше не было, т. е. кора на планете может возникать в ходе увеличения радиуса и поверхности планеты при ее росте. Поскольку субдукция — мифическое понятие, то вся океаническая кора появилась на Земном шаре относительно недавно, ее возраст не превышает 200–220 млн. лет. Открытие спрединга океанической коры принципиально изменяет понимание разрастания континентов. Континенты разрастались аналогично океанам, при этом кора континентов наращивалась преимущественно путем рассеянного спрединга, т. е. путем локальных медленных растяжений в геосинклиналях и авлакогенах, с последующей глубокой переработкой вновь образованных участков коры.

    До изучения океанического ложа континентальное и океаническое корообразование рассматривалось как два отдельных, не связанных между собой, процесса. Такое неестественное положение дел никак не объяснялось: почему в океанах наблюдается спрединг, а на континентах — авлакогены и геосинклинали? Обнаружение спрединга в океанах позволило понять явление корообразования на Земле как единый процесс переработки самого внешнего, латерально наращивающегося слоя пород. Для понимания становления океанической и континентальной коры актуальными оказались исследования А. Г. Коссовской и В. Д. Шутова. По их данным океаническая кора, вновь образованная в результате различных форм спрединга, постепенно в ходе времени преобразуется в континентальную кору. С увеличением возраста океанической коры ее породный, минеральный и химический состав приобретает все большее сходство с корой континентов: увеличивается ее мощность с 6 до 15 км, степень серпентизации, накапливаются калий и уран, уменьшается содержание кальция. Процесс преобразования океанической коры в континентальную, получивший название континентализации океанической коры, продолжается и на континентах (северо-восток Азии, Карибский регион, шельф юго-востока Азии и др.). Поскольку континентальная кора появилась в результате переработки симы в сиаль, то совершенно очевидно, что для коры океанического типа континентализация означает начальный этап переработки симатической коры в сиалическую (континентальную). Таким образом, и на континентах, и в океанах переработка земной коры подчиняется одному и тому же процессу, протекающему на разных стадиях развития планеты: кора континентов формировалась на Земле малых размеров, а океанический спрединг и последующая континентализация — на выросшей планете. Картина расположения структурно-возрастных зон океанической коры в плане во многом определяется процессом спрединга в срединно-океанических хребтах, поэтому преобладает последовательное причленение старых участков коры к молодым. Наряду с этим существуют несогласные причленения, вклинивание молодых площадей коры в древние ее поля. Таким образом, картина сочленения участков океанической коры различных возрастов оказывается мозаичной. Если же учесть сочленения океанической коры с континентальной, то эта мозаичность площадей становится наглядным примером латеральной структурно-возрастной неоднородности всей земной коры, не согласующейся с требованиями тектоники плит. Трудность согласования «тектоники плит» с множеством геологических структур, процессов и явлений, хорошо была известна создателям теории тектоники плит. В этой связи один из разработчиков новой глобальной тектоники К. Ле Пишон, зная о существовании идеи расширяющейся Земли, не стал развивать эту идею, а отдал предпочтение плейттектонике. Это решение Ле Пишон мотивировал тем, что Земля не может расширяться, и разрастание океанического дна необходимо объяснять на планете постоянных размеров. С этой целью было введено представление о субдукции. Таким образом, появление «тектоники плит» не связано с ее достоверностью и простотой объяснения геологических структур, явлений и процессов. В данном случае действовал другой фактор: полное соответствие ортодоксальной парадигме, тогда как концепция расширения земного шара противоречила этой парадигме.

    Решение Ле Пишона не было ни оптимальным, ни верным, так как критерий истинности геологических представлений оказался ориентированным на некорректную парадигму. И в этом нет парадокса, если вспомнить Томаса Куна, который подметил очень важную закономерную связь в развитии науки: представления, не соответствующие признанной парадигме, отвергаются научным сообществом. В этом заключается основная причина того, что геологические исследования преимущественно стали проводиться в рамках «тектоники плит», а не по сценарию идеи расширяющейся Земли. И хотя концепция расширения Земли появилась намного раньше плейттектоники и продолжала непрерывно совершенствоваться, она всегда оказывалась на заднем плане из-за расхождения с ортодоксальными представлениями. Так в реальной обстановке негативно проявлялся социальный аспект науки: всеми доступными средствами защищалась и продолжает защищаться функционирующая парадигма.

    2.2.4. Земная кора свидетельствует…

    Поскольку наращивание площадей океанической коры происходит непрерывно во времени и наблюдается непосредственно в наше время (с подводных глубоководных аппаратов), то в океанах существует весь набор возрастов океанической коры: от современного возраста до наиболее старого, триасового. Процесс становления земной коры полностью запечатлен на геологических картах. При этом на континентах также имеется кора юрского и триасового возрастов, так что существует тенденция непрерывного во времени покрытия корой всей поверхности планетного шара. Ход становления земной коры позволяет воспроизвести всю историю эволюции Земного шара. В начале корообразования поверхность прото-Земли равнялась площади ядер щитов, затем земная поверхность еще увеличилась и составила площадь, равную щитам. После этого латеральное разрастание континентальной коры привело к формированию платформ, и их площади прибавились к общей поверхности прото-Земли.

    Процесс увеличения прото-Земли на ранних стадиях медленно ускорялся. Также медленно и синхронно с увеличением поверхности, радиуса и объема шла переработка и становление корового слоя. При медленном увеличении прото-Земли ее кора непрерывно растягивалась без разрывов и без обнажения подстилающих симатических пород. Когда же скорость растяжения коры достигла критических значений, образовались разрывы корового слоя и началась океаническая стадия развития планеты.

    Формирование земной коры — ключевая проблема учения о Земле. В прошлом этот процесс "выводился" из кантовских гипотез образования Земли. Привязка проблемы к кантовским гипотезам стала причиной того, что главная геологическая закономерность не использовалась в полной мере и оставалась необъясненной в пределах ортодоксальных представлений. В концепции растущей Земли главная геологическая закономерность не только исчерпывающе объясняется, но является исходным эмпирическим материалом для формулировки самой идеи роста Земли. Обнаруженная сначала на материках главная геологическая закономерность более отчетливо проявилась в океанических областях Земли, демонстрируя тем самым грандиозную картину развития Земли и единый способ образования земной коры (океанической и континентальной).

    Главная геологическая закономерность — это эмпирическое обобщение, выявленное независимо от каких-либо теоретических установок. Она отражена на геологических картах и объективно существует, запечатлена в каменной летописи на лике Земли. Геологические теории, претендующие на достоверность, обязаны объяснять главную геологическую закономерность как эмпирический факт фундаментального значения. И если теория не в состоянии объяснить главную геологическую закономерность, то это свидетельствует о полной непригодности такой теории.

    Главная геологическая закономерность позволила количественно оценить параметры разрастания океанических областей, а по ним и параметры увеличения планеты. Эти оценки подробно описаны в работе [Осипишин], там же приведены результаты подсчетов площадей океанической коры, а также аналитические и графические зависимости, соответствующие подсчетам площадей по геологическим картам океанов. Ниже приведены рисунки (рис. 14 и рис. 15), демонстрирующие закономерность разрастания океанической коры. Эта закономерность стала предметом открытия возрастного состава площадей океанической коры (заявка в Госкомизобретений СССР за № 11760, 1988 г.).



    Для получения аналитических зависимостей следует учесть, что земная кора состоит из множества разновозрастных участков от катархея до современности. Площадь каждого участка — ?АT Поэтому сумма площадей всех участков равна площади поверхности Земли А0, т. е.

    (1)


    Восходящая кривая на рис. 14 свидетельствует о явном ускоренном и непрерывном формировании океанической коры. Плавность кривой характерна лишь для Земли в целом. Если построить аналогичные графические зависимости для каждого океана в отдельности, то вместо плавной кривой мы получим ряд бесформенных ломаных линий. Такой вид составляющих восходящей кривой на рис. 14 свидетельствует о том, что в океанах остается весь набор возрастов генерируемой коры без мифической субдукции. Если бы субдукция существовала, то не было бы полного (непрерывного) набора возрастов океанической коры и кривая (рис. 14) не была бы плавной. Ускорение становления океанической коры согласуется с ускоренным становлением коры континентов по зависимости Н. С. Шатского (рис. 13). В этой связи можно полагать, что восходящие кривые (рис. 13 и рис. 14) являются разными участками одной и той же кривой.



    Следует отметить, что в данные полученные Ро-новым с соавторами определения объемов океанских осадков не вошли площади земной коры краевых морей, и потому общая площадь коры оказалась заниженной на 5.3 %. В этой связи данные А. Б. Ронова (крестики на рис. 14 и 15) на графике располагаются несколько выше данных Н. Я. Осипишина и В. Ф. Блинова (кружочки).

    По внешнему виду кривая на рис. 14 похожа на экспоненту. Чтобы выяснить характер этой кривой, были вычислены значения логарифмов

    (А/А0)
    и нанесены на график (рис. 15). Значения
    ln(А/А0)
    группировались возле прямой линии, уравнение которой


    (2)


    где k — тангенс угла наклона прямой с размерностью обратного времени 1/год; Т — время в годах; А0 — поверхность Земного шара; А — текущее значение площади земной коры, соответствующее возрасту Т.

    Уравнение (2) подтверждает предположение о том, что восходящая кривая на рис. 14 есть экспонента, так как после потенцирования выражения (2), оно приобретает вид


    (3)


    где е — основание натуральных логарифмов. Величина к может быть определена приближенно по рис. 14. Более точно значение к определялось по методу наименьших квадратов с учетом различных хронологических шкал. Среднее значение этого коэффициента равно

    6.1х10-9 1/год
    . Получение математической зависимости (3) способствует более глубокому пониманию процесса становления земной коры и эволюции нашей планеты. Производная от экспоненты (4)


    (4)

    A' = — kA0eT

    характеризует два аспекта главной геологической закономерности. Первый состоит в том, что выражение (4) — это распределение океанической коры по возрастам, или глобальная площадная скорость спрединга для различных эпох мезокайнозоя. Вглубь эпох скорость генерации коры уменьшается по экспоненте. Современная скорость спрединга получается, если в выражении (4) положить Т = 0. При принятом значении k скорость прироста океанической коры составляет

    3.12 км2/год
    . Для начала меловой эпохи скорость спрединга уменьшается до
    1.3 км2/год
    , а величины разрастания континентальной коры, приведенные ранее, равны еще меньшим величинам, тоже уменьшающимся к началу геологических эпох.

    В связи с тем, что на континентах широко распространены участки докембрийской коры, высказывалось мнение о расширении Земли исключительно в мезокайнозойское время, а до этого, образовавшись по сценарию кантовских гипотез, Земля была, якобы, неизменных размеров. Однако такое мнение ошибочно из-за того, что современная масса Земли не может уместиться в тот небольшой объем, который соответствует, например, площади щитов вместе с платформами при приемлемом значении плотности. Модель расширяющейся Земли с начальным радиусом 3000 км рассмотрел И. А. Майданович. Плотность такой глобулы оказалась равной

    50 г/см3
    . Но таких плотностей не наблюдается среди известных планет. Поэтому единственно правильным решением для Земного шара, который увеличивается в размерах, является представление И. О. Ярковского о непрерывном приросте массы Земли. Увеличение массы Земли — это та основная причина, которая вызывала разрастание материков и обеспечивает расширение ложа океанов.

    Идея Ярковскго не согласуется с ортодоксальными взглядами, но она не противоречит реальности, и поэтому, после Ярковского, ее развивали многие исследователи. Среди них О. С. Хильгенберг, И. В. Кириллов, В. Б. Нейман, С. У. Кэри, В. И. Гусаров, Н. Я. Осипишин, В. П. Иванкин, В. Ф. Блинов и др. Идея Ярковского очень просто объясняет ведущий процесс растяжения земной коры.


    Дело в том, что объем с большей плотностью массы увеличивается быстрее такого же объема с меньшей плотностью. В недрах Земли более плотные породы находятся в мантии и ядре, объем которых увеличивается быстрее объема самых верхних оболочек, от чего создается избыток внутреннего давления. Более быстрое увеличение объема глубоких недр Земли (ядра и мантии) вызывает растяжение верхних оболочек Земного шара и способствует выдавливанию из недр вязких пород. С этим явлением связаны излияние магм, наличие плюмажей, извержения вулканов, выдавливание к поверхности астенолитов.

    Увеличение массы Земли и других небесных тел И. О. Ярковский связывал с природой гравитации и поглощением телами эфира (материи из вакуума). Ярковский не располагал количественными данными. У многочисленных последователей Ярковского — сторонников концепции роста Земли — до самого последнего времени не было замкнутой теории этой концепции, удовлетворительно объясняющей гравитационный механизм увеличения массы Земли. Но после публикации работ В. Ф. Блинова, содержащих описание кинетической теории гравитации, концепция роста Земного шара приобрела законченный вид и предстала не как гипотеза, а как эмпирическое обобщение геологических сведений о Земном шаре, полностью объясненное теоретически. Графическое изображение распределения океанической коры по возрастам (рис. 14) отражает не только характер становления земной коры, но также ход увеличения объема планеты.

    2.2.5. Следствия роста Земли

    Рост Земли запечатлен не только в земной коре, он повлиял на многие явления и геологические процессы, продуцируя изменение климата планеты, его потепление. Все происходящие изменения на Земле являются не только следствиями ее роста, но также свидетельствами, подтверждающими прогрессирующее развитие планеты по пути её превращения в звезду. Так, ускоренное развитие Земли тесно связано с эволюцией живых организмов. Биологами твердо установлено, что живые организмы зависят от среды обитания, от состояния и эволюции этой среды. В свете известного положения о единстве среды и жизни, развитие жизни на Земле строго согласовано с ростом Земного шара. В начальный период роста малой прото-Земли на ней не было условий для развития жизни очень длительный период. И только начиная с кембрия, когда поступление энергии от центральной звезды достигло уровня, достаточного для поддержания на поверхности положительных температур, эволюция жизни ускорилась и впоследствии продолжала ускоряться до настоящего времени.

    Палеонтология рисует нам такую картину: жизнь на Земле прозябала миллиарды лет, и развилась до современных форм за последние 500 млн. лет.

    На растущей Земле жизнь не могла развиваться иначе, чем по сценарию, написанному палеонтологией. Эволюция жизни на Земле — это мощное подтверждение справедливости идеи её роста. Но одновременно она является и следствием увеличения энергетического потенциала

    Земли во времени. Приведем мнение Н. Н. Цвелева, который проанализировал развитие палеофлоры на расширяющейся Земле: "На наш взгляд, общий ход эволюции наземных растений в целом и их отдельных групп настолько хорошо согласуется с гипотезой "расширяющейся Земли", что это может служить даже дополнительным доводом в пользу этой гипотезы" [Цвелев, с. 34]. Сведения о развитии животного мира и расселении живых существ на различных континентах также хорошо согласуются с обитанием живых организмов на растущей Земле.

    Н. Н. Цвелев назвал идею расширения Земного шара гипотезой. Но это не столько реальная оценка сущности концепции, сколько дань времени написания статьи. В настоящее время идея растущей Земли — уже не гипотеза, а эмпирическое обобщение, полностью объясненное теоретически. Иначе классифицировать идею растущей Земли нельзя, особенно, после анализа распределения палеоклиматических поясов (зон) на картах.

    Л. И. Ивашевский, касаясь вопросов развития Земли, писал: "К числу таких общих законов, определяющих специфическую особенность историко-геологиче-ского процесса, относится закон необратимости развития земной коры и Земли в целом. Как общая закономерность выступает ускорение геологического развития Земли, которое может быть выражено количественно коэффициентом ускорения развития" [Ивашевский, с. 28]. Это очень ценное признание, сделанное независимо от идеи растущей Земли, однако причин ускоренного развития планеты Л. И. Ивашевский не называет. Да и как их можно назвать, если кантовские гипотезы ориентируют на противоположные заключения?

    Одна из установок кантовских гипотез — второе начало термодинамики — предписывает Земле непрекращающуюся потерю энергии, но если бы остывание Земли оказалось реальным, то никакого ускорения геологического развития планеты не было бы. Если бы работал механизм постоянного охлаждения планеты, наблюдалось бы не ускорение, а затухание геологических процессов со временем. Открытие акселерации геологических процессов во времени оказалось неожиданным для устоявшихся взглядов, ориентированных на остывание Земли; значение акселерации не осмыслено до сих пор и этому препятствуют кантовские гипотезы и инерция мышления. Это ещё раз подчеркивает не-диалектичность мышления ученых, забвение ими всеобщего закона единства и борьбы противоположностей, который требует одну силу, процесс (энтропию) дополнять противостоящим ему процессом (негэнтропией). Между тем информация об ускоряющемся развитии Земли всё в большем объеме поступает из различных разделов геологии. Обобщая эту информацию, Д. В. Рундквист писал: "Выявлена отчетливо необратимая эволюция — возникновение в ходе истории все большей дифференциации вещества, все большей специализации возникающих горных пород, руд, формаций, блоков литосферы, усложнение систем минералообразования" [Рундквист, с. 4]. Уточняя характер необратимости геологических явлений, Д. В. Рундквист там же отметил: "При анализе сходных минеральных образований, различных по времени формирования, намечается та же закономерность, что и в живой природе — все большее ускорение процессов во времени. Наиболее четко это проявляется при изучении крупных структур литосферы — складчатых поясов и, как следствие, распространяется на все слагающие их образования: комплексы, формации, породы, минералы". Идею акселерации геологических явлений подтверждают исследования процессов осадконакопления и скоростей прогибания геосинклиналей (рис. 16).



    Очень важное значение в формировании взглядов об ускорении геологического развития планеты имели количественные подсчеты объемов различных геологических формаций, изучение развития явлений в геосинклиналях и рифтогенеза, определения емкости океанических впадин, связанных с объемом воды на Земле, оценка объемов пород разных возрастов. Количественные оценки геологических процессов подтвердили ранее высказывавшиеся мнения об усилении во времени тектонической активности Земли. Достаточно определенно это было сделано в отношении вулканизма Е. Ф. Малеевым с привлечением геосинклиналей: "Таким образом, направленность тектоно-магматических процессов приводит к акселерации вулканической деятельности, выражающейся в увеличении выноса вулканических продуктов за более короткие отрезки времени" [Малеев, с. 137]. Эту же мысль подтвердил А. Б. Ронов с соавторами: "Таким образом, в мировом масштабе в течение неогея, т. е. позднего докембрия и фанерозоя, наблюдалось общее возрастание интенсивности вулканизма" [Ронов, с. 11]. Несколько позже В. Е. Хаин с соавторами не только подтвердил этот вывод, но распространил его на все тектонические явления: "Тектоническая активность Земли не ослабевает, а напротив, возрастает от раннего докембрия ко всё более молодым эпохам неогея " [Хаин, с. 35].

    Возрастание тектонической активности планеты вытекает из главной геологической закономерности, которую характеризует ускоренное становление земной коры. И если бы тектоническая активность планеты не была обнаружена геологическими наблюдениями, она была бы предсказана на основе главной геологической закономерности. Точно так же могла бы быть предсказана акселерация во времени минерагенеза, рудообразования, осадконакопления, выделения воды и нефти из недр и др. Но ускорение этих процессов было обнаружено методами, независимыми от главной геологической закономерности. В свете сказанного понятнее и закономернее становится заключение Б. М. Михайлова о характере фанерозойского гипергенеза: "В условиях докембрийского гипергенеза не могли формироваться (и не формировались) мощные коры химического выветривания, аналогичные известным, в отложениях более молодых эпох истории" [Михайлов, с. 24]. И далее, с. 25: "В последующей истории Земли наблюдается пульсационно-прогрессивный рост роли гипергенеза в рудообразовании. Максимум этого процесса достиг в новейшую стадию его развития. Олигоцен-четвертичные континентальные отложения, накопившиеся за последние 30 млн. лет, содержат более половины мировых запасов руд алюминия, железа, марганца, силикатных руд, никеля и кобальта, россыпей золота, платины и многих других полезных ископаемых".

    Проблема ускорения геологических процессов не ограничивается приведенными примерами. Об акселерации тектоно-магматических циклов писал Г. П. Полуар-шинов, отмечая в качестве пионеров этого представления Г. Штилле и С. Бубнова, а также более поздние исследования Н. Ф. Булаховского (1966 г.) и Ю. М. Шувалова (1980 г.). Постепенное усиление активности Земли и сокращение интервалов между орогеническими фазами отмечали З. А. Сваричевская и Ю. П. Селивестров. Сведений об акселерации геологического развития накопилось так много, что они стали уже достоянием учебников.

    Так, Е. В. Владимирская с соавторами отмечали: "Сопутствующие расчеты, выполненные Дж. Гиллюли для фанерозоя и Л. И. Салопом для докембрия, показывают, что в ходе геологической истории возрастает скорость геосинклинального прогибания" [Владимирская, с. 400]. А на с. 40 находим: "Направленность геологического развития, как мы видели, не носит линейного характера. Намечается акселерация этого процесса…".

    Ускорение геологических процессов неизбежно должно существовать на растущей Земле с ее непрерывным увеличением размеров, массы и внутренней энергии. Эти глобальные процессы, а также главная геологическая закономерность доминируют над остальными геологическими процессами, и их акселерацию во времени можно было бы с самого начала рассматривать как следствие роста Земного шара. Но тогда акселерация геологических процессов воспринималась бы как навязывание теоретических положений природе. Поскольку же акселерация геологических процессов, в виде всеобъемлющих глобальных признаков, была обнаружена в результате анализа большого объема эмпирических сведений и вопреки прогнозам адвокатов второго начала термодинамики, она выступает, наряду с главной геологической закономерностью, как эмпирическая основа растущей Земли.

    Ввиду того, что представление о растущей Земле было получено методом индукции из эмпирических сведений, эту идею-концепцию следует расценивать как обобщение эмпирических данных. Таким образом, с накоплением достоверных сведений гипотетическое прошлое идеи растущей Земли стало достоянием истории. Концепция превратилась в индуктивную теорию развития Земли, не содержащую теоретических (умозрительных) предпосылок и полностью основанную на эмпирических сведениях. Теория в концепции растущей Земли играет роль цемента, скрепляющего эмпирические сведения в единую систему представлений о мире.

    2.2.6. Земля среди небесных тел

    Поскольку Земля является рядовым космическим телом, обладающим гравитационным полем, которое обеспечивает ее рост, то, очевидно, что должен быть конечный результат такого роста. Сведения о Солнечной системе и Галактике дают основание считать, что, в конечном счете, Земля может вырасти (если не произойдет катастрофических событий) в массивную звезду с массой, не превышающей 50 масс Солнца (М0). Ограничение роста масс небесных тел вызывается естественными причинами: в Галактике не существует звезд с массой, превышающей 50 М0. В процессе роста Земля проходила стадии развития кометы или астероида, затем наступила лунная стадия развития, а после этого Земля прошла стадию развития Марса и приближается к венерианской стадии эволюции. Венерианская стадия роста характеризуется не столько величиной массы, сколько условиями на поверхности планеты. Дальнейшее увеличение массы Земли приведет к разогреву недр и увеличению температуры на ее поверхности. Затем наступит стадия развития Сатурна и Юпитера, которая перейдет в звездную стадию эволюции: Земля превратится в коричневый карлик.

    Звездная стадия эволюции отображена на диаграмме Герцшпрунга-Рессела (рис. 17), составленной первоначально исключительно для звезд.



    Поскольку координаты (абсолютная звездная величина-светимость) однозначно связаны математической зависимостью, то рис. 17 называют также диаграммой спектр-светимость. Основная масса звезд (85 %) располагается на диаграмме в относительно узкой полосе, называемой главной последовательностью. Вверху главной последовательности размещаются белые и голубые гиганты — звезды большой массы и большой светимости. Спектральные классы этих звезд О, А, В. Вдоль последовательности (сверху вниз) светимости и массы звезд уменьшаются. В правом нижнем углу диаграммы располагаются звезды с малыми массами (

    М^ > 0,8 М0
    и малой светимостью, их относят к спектральным классам К и М. Эти звезды получили название красных карликов. Они составляют многочисленную семью. Этот факт противоречит гипотезе Канта, так как при конденсации газа и пыли должны были гораздо чаще формироваться массивные звезды, а не звезды малых масс. При росте же небесных тел планет и малых звезд должно быть очень много.

    В правом верхнем углу диаграммы на рис. 17 расположены звезды-гиганты, их немного в Галактике, но благодаря большой светимости, они легко обнаруживаются. Из-за красного цвета и большой светимости эти звезды называют красными гигантами.

    После составления диаграммы спектр-светимость стало ясно, что расположение на ней звезд, в том числе главной последовательности, обусловлено эволюцией звездного населения Галактики. Однако распределение звезд не соответствовало ортодоксальным взглядам: согласно им звезды должны были располагаться по всей площади диаграммы, а фактически они сформировали узкую ленту главной последовательности. В концепции роста планеты и звезды представляют единый эволюционный ряд. Планеты типа Юпитера превращаются в коричневые карликовые звезды. Наращивая массу, объем, светимость, интенсивность излучения небесные тела проходят стадии желтых, белых и голубых звезд, пока не достигают массы в 50 масс Солнца, после чего взрываются, т. е. превращаются в красных гигантов. После сброса оболочки такой звезды на месте красного гиганта обнаруживается белый карлик. Причины ограничения верхнего предела масс звезд относительно просты. Дело в том, что приток массы к звезде пропорционален ее массе (М^), а потеря массы путем излучения происходит гораздо быстрее, она пропорциональна М^3,9, поэтому в период накопления массы неизбежно наступает момент, когда потери сравниваются с поступлениями, и звезда прекращает дальнейший рост. При этом необходимо еще учесть, что в массивных звездах возникают нестационарные процессы, сопряженные со звездным ветром, увеличивающим потери массы массивной звезды.

    На рис. 17 стандартная диаграмма Герцшпрунга-Рессела дополнена кривой линией, которая указывает направление эволюции небесных тел. Сплошной участок кривой отражает постепенное изменение характеристик звезд, а штриховой участок — спонтанные переходы. Лента главной последовательности образуется как результат постепенного изменения параметров звезд. На рис. 17 диаграмма дополнена также планетной стадией развития небесных тел. Планетная стадия развития небесных тел выходит за пределы обычной диаграммы, так как планеты — не светящиеся тела. Эволюция Земли отражается самым нижним участком кривой, предваряющей главную последовательность для звезд.

    Представляет интерес тот факт, что эволюция Земли, определяемая главной геологической закономерностью, вначале никак не связывалась с эволюцией звездного населения Галактики. И если бы в действительности не существовал рост небесных тел, то искусственным приемом едва ли удалось бы состыковать эволюцию планеты Земля с эволюцией звезд. Поскольку же эволюция небесных тел определяется единой общей причиной — круговоротом материи в природе, и управляется гравитационными воздействиями, то состыковка эволюции двух типов небесных тел оказалась естественной операцией. Главная геологическая закономерность нашла свое продолжение в главной последовательности диаграммы Герцшпрунга-Рессела для звезд.

    При состыковке главной геологической закономерности и главной последовательности для звезд совершенно по-иному видится формирование звездных систем, в том числе Солнечной системы. Это подтверждается таким примером. Когда Солнце достигнет своей максимальной массы и взорвется, планетная система Сатурна, к тому времени тоже подросшая, будет выброшена за пределы сферы влияния взорвавшегося Солнца. Но система Сатурна — это уже почти готовая звездная система. Так могут быть выброшены в открытый космос Уран и Юпитер со своими спутниками. Аналогичным путем могут "размножаться" другие звездные системы. Таким же образом формировалась и наша Солнечная система в недрах созвездия Ориона.

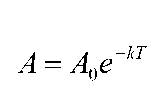
    Каждые сто лет радиус Земли увеличивается на ~2 м. В масштабе жизни человека рост Земного шара происходит очень медленно, и потому длительное время не был обнаружен. Однако изменения размеров и других характеристик планеты оказываются существенными на длительных промежутках времени и эти изменения приобретают принципиальное значение в вопросах генезиса и эволюции Земли как небесного тела. Так, если не произойдет непредвиденных (катастрофических) изменений, наша планета превратится в звезду. На пути роста зародыша в звезду происходит не только увеличение его пространственных параметров, но вообще всех параметров: увеличение теплового потока из недр наружу; усложнение химических элементов от самых простых в ядре до самых сложных в земной коре (так, радиоактивные элементы обнаруживаются только в верхних частях земной коры); дифференциация вещества (пород и минералов) во времени и в пространстве; ускорение и разнообразие геологических процессов и т. д. И это характеризует не только Землю, но и другие планеты. На звездах происходит обратный процесс дифференциации и свертывания разнообразия.

    Полученная формула

    А=А0е-кт
    позволила рассчитать скорость прироста океанической коры —
    3.12 км2/год
    , скорость увеличения радиуса Земли —
    1.95 см/год
    , период удвоения массы Земли, равный 76 млн. лет. При таких темпах переход Земли в состояние Солнца предполагается через
    1.1 млрд. лет
    .

    Всё это верно для рассмотренного, уже прошедшего, геологического этапа развития. Однако, закономерности, выявленные синергетикой, показывают, что в конце любого цикла, на последнем этапе его развития, происходит переход с экспоненциальной зависимости на гиперболическую. Этот режим перехода назван «режимом с обострением». Т. е., происходит резкое ускорение процесса. «Принято думать, что процессы бурного роста, такие, как возрастание населения Земли, «экономическое чудо» или увеличение потока научной информации, происходят по экспоненте. На самом деле это один из мифов классической науки. Фундаментальный закон роста населения Земли (имеющий гиперболический характер — А. Б.) вынуждает пересмотреть привычные представления о таких процессах. Большинство процессов лавинообразного роста происходят не по экспоненте, а гораздо быстрее, в режиме с обострением, когда рассматриваемые величины хотя бы часть времени изменяются по закону неограниченного возрастания за конечное время» [Князева, с. 93]. А значит, переход Земли в состояние Юпитера и Солнца произойдет в тысячи раз быстрее, чем это прогнозируется по классической экспоненте. В этом ошибка, недопонимание В. Ф. Блинова (хотя он и мой друг) и тех, кто будет основываться в своих работах на его предсказаниях. Такой быстрый переход (в пределах 1–2 тыс. лет) приведёт к совсем другим последствиям для Человечества. Современный экологический кризис, неустойчивость климата, таяние льдов на Земле, как и резкое увеличение процессов на других планетах, — всё это подтверждает вывод синергетики о том, что мы стоим на пороге превращения в состояние Юпитера. Как будет показано ниже, на основе анализа состояния ноосферы Земли, у нас осталось чуть больше тысячи лет. И нужно отбросить старые мифы и догмы, и готовиться к такому переходу.


    Очень важной проблемой для будущего развития цивилизации являются изменения климата на Земле, которые могут существенно сказываться на состоянии флоры, фауны и экологии в целом. Ортодоксальный подход к изучению земного климата и прогнозы по его изменению совершенно не учитывает динамику развития небесных тел. Обычно считают, что Земля и Солнце будут существовать практически неизменными еще несколько миллиардов лет. Отсюда следует, что единственными, значимыми факторами изменения климата Земли являются антропогенные воздействия, в частности, увеличение доли

    СО2
    в атмосфере и связанное с этим потепление климата (парниковый эффект). В свете же идеи роста небесных тел проблема изменений климата выглядит совершенно иначе, причем прогнозы на будущие его изменения менее благоприятны.

    Реальные изменения земного климата определяются многими факторами. Два из них являются основными. Первый фактор — это внутреннее разогревание земных недр и рост теплового потока к поверхности, что неизбежно приведет к повышению температуры на поверхности планеты. Второй фактор — это увеличение светимости Солнца, однозначно связанное с его массой. Светимость Солнца пропорциональна М03,9, поэтому небольшое увеличение массы Солнца вызовет существенное увеличение его светимости. Оба фактора слагаются и могут относительно быстро повысить температуру земной поверхности. Как видим, оба фактора действуют независимо от антропогенных воздействий. Поэтому современное потепление климата — это не столько действие парникового эффекта, сколько влияние прогрессирующего роста небесных тел. Потепление климата на Земле все равно будет происходить даже в том случае, когда на Земле уже не будет никакой цивилизации. Как сказано, будет «новая Земля и новое Небо».

    2.2.7. Заключение

    Данная глава составлена с учетом доклада В. Ф. Блинова, предоставленного и прочитанного им на Четвертой международной научной конференции «Финслеровы обобщения теории относительности. Анизотропия Вселенной», Каир, Египет, 2–8 ноября 2008 года, и его книги «Растущая Земля: из планет в звезды». Выводы, сделанные В. Ф. Блиновым, а особенно в синергетике, важны, и их необходимо учитывать во всех сферах деятельности людей. Если же не учитывать, а блуждать в построениях, созданных по рецептам кантовских гипотез, то это может дорого стоить человечеству и может создать угрозу гибели земной цивилизации. Так, известно, что мероприятия по уменьшению действия парникового эффекта очень дорогие. Но они не принесут желаемого результата, так как потепление климата зависит от многих факторов, в том числе и от роста небесных тел. Огромные расходы на работы по уменьшению влияния парникового эффекта окажутся неоправданными.

    Очевидно, что решать проблему условий обитания людей на Земле необходимо иными способами. В данном случае могла бы пригодиться идея К. Э. Циолковского о завоевании космического пространства и расселении земной цивилизации на планетах и спутниках планет Солнечной системы. Средства для осуществления этого грандиозного мероприятия можно было бы взять из тех отчислений, которые намечается израсходовать на уменьшение влияния парникового эффекта. А также из огромных средств, затрачиваемых на гонку вооружений.

    Разумеется, что в настоящее время земной разум не готов приступить к интенсивному освоению космоса. Для того чтобы приступить к осуществлению идей К. Э. Циолковского, требуется осознать необходимость их осуществления, признав сначала реальность роста небесных тел. Тогда лишь встает проблема расселения гуманоидов с планет, которые начинают становиться звездами, на ближайшие планеты. И такое осознавание необходимо совершить как можно скорее. Иначе можно опоздать: ведь климат становится все теплее, а надежда на решение проблемы изменения климата Земли путем устранения парникового эффекта напрасна. Земному разуму не остается иного выбора, как поскорее признать рост небесных тел и приступить к разработке проекта освоения планет и спутников планет Солнечной системы. Как это сделали гуманоиды с Солнца, когда у них «запахло жареным» 70–50 тыс. лет назад, и они впервые появились на Земле в виде кроманьонцев, людей белой расы. Свидетельств на эту тему больше, чем достаточно. На Земле тогда было три первичных, земных, центра антропогенеза: 1) африканский; 2) южноазиатский (архипелаг или микроконтинет Лемурия); 3) тихоокеанский (архипелаг или микроконтинет Му). На эти три центра развития и расселения земных людей наложился четвертый, арктический, центр расселения белой (солнечной) расы, создав весь спектр этносов и цивилизаций Земли.

    Резюме. Вихревая модель рождения Вселенной из вакуума является "рамой" для построения теории звездно-планетных систем (ТЗПС). Эскиз ее сводится к следующему. В пространстве расширяющего гравима и его превращения в ряд: квазары — ядра будущих галактик — ядра звездных систем — массивные звезды, продолжают существовать остаточные, затухающие колебания субстрата домена. Эти колебания в узлах пучностей волн обусловливают появление зародышей вторичных вещественных объектов: комет — планет — звезд типа Солнце. Если узлы пучностей колебаний первого рода формируют крупномасштабную ячеистую структуру Метагалактики, то вторичные узлы пучностей колебаний домена формируют планетно-звездную сеть. В этих узлах-зародышах происходит переход вакуумного поля в вещество, о чем писал еще сто лет назад И. О. Ярковский, т. е. переход бегущих волн открытого электромагнитного поля вакуума в замкнутый контур, в стоячие волны, в состояние вещества. Физики уже моделируют аналогичным образом элементарные частицы. Вещество (замкнутый контур) в этих узлах сразу же начинает расширяться, размыкать контур как за счет поглощения излученного вещества среды Вещественного СУОМ, так и за счет поглощения энергии из самого вакуума. Поскольку кривизна контура воспринимается как масса, то это выглядит не только как увеличение расстояний между зародышами, но и как увеличение их массы, т. е. рост тел. Каждый зародыш, создавая свои колебания, создает и свою, вторичную, сеть микрозародышей (спутников или вторичных планет), ячейка которой имеет вначале тетраэдрическую форму. Закон "элементарной ячейки", выведенный для геологического уровня, — это отражение всеобщего закона.

    Одно из гнезд ячейки нашей Местной звездной системы занято нашей Солнечной системой. Оно состоит на данный момент из пяти первичных зародышей — двух, уже достигших звездной стадии развития (Солнце и Юпитер), и трех, стоящих на планетной стадии (Сатурн, Уран, Нептун), — и из сотни зародышей второго порядка (планеты земной группы, спутники первичных зародышей) и третьего порядка (спутники планет второго порядка). Четвертый и пятый порядки будут включать в себя астероиды и кометы. Кстати, такой порядок рождения зародышей объясняет и характерное для космоса существование двух-, трех- и n-кратных звезд в планетно-звездной системе. Просто наша Солнечная система очень молода (~ 5 млрд. относительно 20 млрд. лет Вселенной) и у нее все еще впереди за счет "вспыхивания" Юпитера в недалеком будущем: уже сейчас он излучает энергии больше, чем поглощает от Солнца.

    Таким образом, звезды типа Солнца, планеты, их спутники генетически связаны и рождаются не одновременно, а поочередно, диадно, т. е. парами, образуя закономерную планетно-звездную сеть. Никакие гипотезы "захвата", "выброса", "взрыва сверхновой" и т. п. этих закономерностей не объясняют и, тем более, не выводятся из существующих теорий. Официальная парадигма геологии постулирует образование Земли (и планет): 1) механическим способом, путем аккреции (слипания!) из готового вещества (либо газо-пылевого, либо кометно-метеоритного); 2) утверждает практическую неизменность массы, радиуса и объема Земли после ее образования, неизменность характера протекания геологических процессов в разные эпохи; 3) отрицает рождение и трансмутацию химических элементов на планетарной стадии развития материи. Эта парадигма не могла ни объяснить открытия ХХ в. в геологии, ни предсказать новые. Лишь вакуумная концепция суперпозиционных колебаний субстрата домена Абсолюта и рождения вещества из вакуумного электромагнитного поля с последующими квантованными раскрытиями его контура может служить основой конструирования теории звездно-планетных систем. Она постулирует повсеместность и закономерность рождения звездно-планетных систем (ЗПС), а не оставляет это на волю случая.

    Планетная стадия с полным геологическим, биологическим и социальным развитием типа земной — это поворотная точка в восходящем развитии ЗПС, после чего наступает нисходящая (звездная), приводящая к взрывам и разрушению ЗПС. То, что Земля находится сейчас на своем последнем этапе планетарно-геологического развития, доказывается тем, что "исчерпываются точечные группы симметрии в минеральном мире. Продолжительность каждого этапа (тектонического — А. Б.) на 50 млн. лет короче предыдущего, а последний этап не сокращается на эту величину. В результате дальнейшее уменьшение продолжительности невозможно. В истории культуры традиционно считалось, что человечество находится либо на повороте истории, либо в ее конце. Иначе говоря, современная эпоха оказывается поворотным пунктом геологической и, видимо, биологической истории Земли" [Смирнов, 1971, с. 96, 97].

    На планетной стадии идет возникновение всего спектра химических элементов путем их трансмутаций вплоть до трансурановых (на звездной начинает преобладать их разрушение); всего спектра геологических элементов — минералов, пород, формаций, парагенераций, — "вырисовывается трансмутационная картина эволюции вещества нашей планеты с последовательным полным преобразованием простого исходного вещества в более сложные по элементарному и минеральному составу конечные продукты" [Колясников, с. 26].

    С учетом сказанного и дуальной структуры вихревой системы, можно предположить следующую схему субстратного строения Земли:

    1) генерирующий центр — вакуумный узел пучностей, формирующих поливихрь Земли;

    2) два "ядрышка" (по одному на каждый моновихрь) — нейтрон-протонная плазма;

    3) внутреннее ядро вокруг "ядрышек" — Н, с примесью Не, Li, ВеH;

    4) слой "Р" — Н-Не;

    5) внешнее ядро — Не с примесью LiH, ВеН, ВН;

    6) слой Д-мантии — гидриды Li, Ве, В, Mg, Al;

    7) слой С-мантии — смесь гидридов Ве, В, Na и металлов, насыщенных водородом, — Mg, Al, К, Са, Ti, Sc;

    8) слой В-мантии — преобладание Mg, Al, Са, Be в форме силикатов с примесью окислов и карбидов металла, углерода в форме графита, алмаза, метана, простейших углеводородов, платиноидов;

    9) верхняя мантия (слой "А") и земная кора — силикаты и окислы с примесью радиоактивных и, в частности, трансурановых элементов, обеспечивающих местный разогрев; нефть, вода.

    Трансмутационное развитие вещества планет сопровождается ускорением тектонических процессов, ростом их интенсивности и объема, увеличением эруптивных (взрывных) процессов. Так как Человечество (и отдельный человек) входит в систему "Земля" как один из ее элементов, то ускорение ее развития приводит к ускоренному развитию Человечества, что мы и наблюдаем в последнее столетие. Наблюдаемый феномен экстрасенсорства — это способ адаптации человека к этому процессу, к переходу на новый галактический цикл в 5125 лет по календарю майя.

    Резюмируя вышеизложенное, сформулируем основные положения ТЗПС:

    1) необходимо различать в эволюции звезд обычного класса допланетную, планетную и звездную стадии;

    2) планеты — самоорганизующиеся системы (подобно биологическим организмам), "генерирующие центры" которых ("оригиналы") находятся на Вакуумном СУОМ в планетарном секторе Бытия, растущие путем трансмутации вакуумных элементов и квантов энергии (квэнов) в элементы и квэны Вещественного СУОМ и переходящие в свои противоположности — звезды;

    3) параметры планет, планетных систем, процессов, происходящих на них, растут во времени вначале по экспоненте (типа

    А = А0е-кт
    ), причем развитие Земли и ее элементов идет неравномерно-ускоренно (с гиперболическим ускорением экспоненты в конце цикла), пульсационно: с чередованием сжатий и расширений на фоне общего расширения (по схеме: два шага вперед, один шаг назад, а точнее, по схеме Эллиотта). В каждую тектоно-магматическую эпоху рождались и господствовали определенные элементы, породы, формации и т. п. по схеме: впрыск — основная стадия — затухание;

    4) химический состав планет распределяется по периодическому закону от наиболее легких и устойчивых частиц и атомов в ядре (нейтрон-протонная плазма, Не, 1л) до наиболее тяжелых и неустойчивых (радиоактивных) элементов в приповерхностной части земной коры;

    5) общий ход развития геологических систем идет от "генерирующих" (первородных) систем к "отображенным" (вторичным), подчиняясь законам периодичности, ускорения, симметрии и т. д.;

    6) геосферы наращиваются послойно в процессе дифференциации и трансмутации. Механизм наращивания — вулканизм, переработки — седиментогенез. Снизу вверх и от прошлого к настоящему. Акцент в геологической истории переносится с ведущей роли ядерно-физических реакций и процессов на физико-химические, затем на химико-биологические и, наконец, на социально-технические;

    7) так как звезды удаляются от центра галактики, то галактический год должен удлиняться для звездной системы от ее рождения до состояния "здесь и сейчас". Меняются и все фундаментальные константы;

    8) так как развитие ведет к сдвигу симметрии в сторону асимметрии, то географическая полярная и тектоническая асимметрия планет есть показатель их структурной сложности. То же относится и к появлению гранитного слоя как проявлению самодвижения гидросферы, атмосферы и биосферы;

    9_ фигура Земли, как и любой планеты, есть производная, в первую очередь, двух сил — гравитационной и термодинамической — и меняется от клиновидной (тетраэдрической) в первые эпохи рождения до современной шаровидной. Скорость вращения, как и сила тяжести, увеличивается к настоящему времени. Вихри атмосферы, гидросферы (перед этим вихри в мантии) вызывают зарождение щитов и спиралевидное формирование материков;

    10) в основу каждой формы развития материи (ФРМ) должен быть положен закон элементарной ячейки. Количество элементарных ячеек в ФРМ не менее трех. В каждом макрообъекте существует минимум три ФРМ;

    11) таким образом, развитие звездно-планетных систем происходит гнездообразно, иерархически, квантовано, взрывообразно, периодично, экспоненциально ускоренно, дифференцированно, подчиняясь ЭПР, сформированной в ее гецене. Видимое отображение гецена Солнечной системы на данном этапе ее развития — Солнце!







     


    Главная | В избранное | Наш E-MAIL | Добавить материал | Нашёл ошибку | Другие сайты | Наверх