Добавочныя статьи ари?метическаго курса.

Если взять десятокъ-другой учебниковъ ари?метики, изданныхъ въ посл?дніе годы на русскомъ язык?, то увидимъ, что вс? они очень похожи другъ на друга. Если просмотр?ть учебники на раз-ыхъ языкахъ за посл?днее стол?тіе, то увидимъ разницу въ матеріал? и въ его объяененіи. Но эта разница сд?лается р?зко-очевидной, если сопоставить учебники древняго времени съ учебниками новаго. О характер? объясненій въ старинное время или, в?рн?е, объ отсутствіи объясненій мы уже упоминали. Но самое содержаніе ари?метики сейчасъ далеко не то, каково оно было прежде. Приведемъ н?сколько подробностей.

Въ ари?метик?, составленной Павломъ Цв?тковымъ (1834 г.), есть отд?лъ объ извлеченіи квадратныхъ и кубическихъ корней. Этотъ отд?лъ исключенъ изъ ари?метики вообще около средины 19-го в?ка. Корни извлекаются у Цв?ткова изъ отвлеченныхъ чиселъ и изъ именованныхъ. Напр., корень квадратный изъ 4 дней 302 час. 369 мин. квадратныхъ составляетъ 2 дня 3 часа 3 мин.; при этомъ вводится квадратный день, въ которомъ 576 квадр. ч. и кв. часъ въ 3600 кв. минутъ — все это несообразности.

До второго десятил?тія 19-го в. вставлялись въ ари?метику логари?мы, и это начали д?лать съ самаго ихъ прим?ненія къ математик?, т. е. съ 17 ст. У Василія Загорскаго (1806 г.) логари?мы подробно объяснены, и къ нимъ приложены таблицы; въ этихъ таблицахъ содержатся логари?мы чиселъ до 10000 съ семью десятичными знаками.

Въ «Начальныхъ основаніяхъ ари?метики», сочиненныхъ Степаномъ Румовскимъ (1760 г.), пом?щены прогрессіи, которыя мы встр?чаемъ у вс?хъ его предшественниковъ. У Магницкаго въ его изв?стной «Ари?метик?, сир?чь наук? числительной», которая «съ разныхъ діалектовъ на славенскій языкъ преведена, и во едино собрана, и на дв? книги разд?лена», вся вторая книга, т. е. вторая половина, содержитъ такіе отд?лы, которые сейчасъ у насъ не признаются ари?метическими и ни въ какомъ случа? не пом?щаются въ учебникахъ ари?метики. Это, во-первыхъ, ари?метика-алгебраика, по нашему сказать алгебра, съ ея нумераціей и д?йствіями и съ извлеченіемъ такихъ мудреныхъ корней, что одно названіе ихъ приводитъ въ недоум?ніе: биквадратъ или зензизензусъ—корень 4-й степени, солидусъ или сурдесолидусъ—5-й степени, квадратокубусъ или зензикубусъ—6-й степени, бисурдесолидусъ или бисолидусъ—7-й степени, триквадратъ или зензизензусъ отъ зенза—8-й степени, бикубусъ, кубокубусъ, сугубый кубусъ—9-й ст.; квадратъ солида, зенсурдесолидъ—10-й ст.; кубосурдесолидъ, терсолидъ—11-й ст., биквадрато-кубусъ — 12-й ст. За этими корнями, которые, впрочемъ, бол?е страшны и обширны своими названіями, ч?мъ процессомъ извлеченія, идетъ ари?метика-логистика или астрономская «како въ градусахъ, минутахъ и секундахъ, и въ прочихъ колесъ с?ченіяхъ д?йство и чинъ ари?метика содержитъ»; зд?сь просто-напросто показывается, какъ д?лать вычисленія съ градусами, минутами и секундами. Потомъ идетъ еще приложеніе, и на этотъ разъ геометрическаго характера «о геометрическихъ черезъ ари?метику д?йствуемыхъ», гд? р?шаются прим?ры на вычисленія площадей и объемовъ, и даже сообщаются св?д?нія изъ тригонометріи. Въ заключеніе идетъ глава «о земномъ разм?реніи и яже къ мореплаванію прилежатъ», тутъ есть таблицы широтъ и долготъ, описаніе в?тровъ и т. п. Какое разнообразіе содержанія! Можно сказать, что ари?метика Магницкаго— это ц?лая энциклопедія; въ ней собраны всевозможные случаи, гд? только можетъ пригодиться вычисленіе: и изъ хозяйетва, и изъ ремеслъ, и изъ гражданской и военной жизни. Сочинитель заботился, чтобы его книга вс?хъ удовлетворила и ни одного вопроса не оставила безъ отв?та, чтобы она всец?ло соотв?тствовала требованіямъ практики.

Эта пестрота и этотъ наборъ всевозможнаго матеріала, который складывается въ одну кучу, на всякій случай, авось пригодится гд?-нибудь въ жизни и хозяйств?, эта пестрота и случайность еще бол?е проскальзываютъ въ старинныхъ сборникахъ XVI—XVII в?ка. Чего-чего только тамъ н?тъ. Какъ Плюшкинъ тащилъ въ свою груду всякій ненужный хламъ и рухлядь, и какъ любитель-коллекціонеръ добываетъ и вставляетъ въ свое собраніе всякія мелочи и подробности, такъ и авторы старинныхъ учебниковъ собирали въ ари?метику все, что хоть сколько-нибудь подходитъ къ ея практическимъ требованіямъ и можетъ дать отв?тъ на какой-нибудь числовой воііросъ. О смысл?, ц?лесообразности и воспитательномъ д?йствіи науки не заботились: лишь бы только она годилась для жизни. Доходило д?ло до такихъ курьезовъ и странностей: «Есть убо челов?къ, яко же пов?даютъ, на глав? им?я 3 швы и на углы составлены; женская же глава им?етъ единъ шовъ, кругомъ обходя главу; да по тому знаменію и въ гроб?хъ знаютъ, кая мужеска, кая-ли женска». «Хошь сыскати тварей обновленіе небу и земл?, морю и зв?здамъ, солнцу и лун?, и индикту». Оказывается, небо поновляется въ 80 л?тъ, а земля въ 40 л?тъ, море въ 60 л?тъ.

Въ составъ среднев?ковыхъ ари?метикъ входили еще такъ называемыя математическія развлеченія. Трудно и скучно было тогдашнимъ ученикамъ. Сухое изложеніе, мудреный языкъ, масса научныхъ терминовъ, отсутствіе объясненій[10] — все это приводило къ тому, что ученье обращалось въ долбленье, и только бол?е счастливые, т. е. бол?е сильные, умы могли справляться съ матеріаломъ, перерабатывать и понимать. Вотъ когда появились поговорки: «корень ученья горекъ» и «лучше книги не скажешь». Чтобы хотъ н?сколько оживить учениковъ, ут?шить и ободрить, ихъ назидали, во-первыхъ, ув?-щательными стихами, гд? восп?валась вся сладость подвига и вся ц?нность результатовъ, которыхъ им?етъ достигнуть «мудролюбивый» отрокъ:

О любезный ари?метикъ,
Буди наукъ не отметникъ,
Тщися еще быти усердъ,
Да будешь въ нихъ силенъ и твердъ,
Въ см?тахъ какихъ д?лъ купецкихъ,
И во всякихъ иныхъ св?цкихъ.
Т?мже въ Бога уыовая
И на помощь призывая,
Потрудися въ нихъ охотно,
Аще будетъ и работно.

Во-вторыхъ, давались задачи съ оотроумнымъ содержаніемъ и требовавшія особенной изворотливости и догадки. Вотъ задача изъ сборника, приписываемаго Алькуину (въ 8 в. по Р. X). Рукопись относится приблизительно къ 1000 г. по Р. X. «Два челов?ка купили на 100 сольдовъ свиней и платили за каждыя пять штукъ по 2 сольда. Свиней они разд?лили, продали опять каждыя 5 штукъ по 2 сольда и при этомъ получили прибыль. Какъ это могло случиться? А вотъ какъ: на 100 сольдовъ приходится 250 свиней, ихъ они разд?лили пополамъ, на 2 стада, и изъ перваго стада отдавали по 2 свиньи на 1 сольдъ, а изъ второго по 3; тогда достаточно выдать по 120 штукъ изъ каждаго стада, такъ какъ придется получить 60 сольдовъ за свиней перваго стада, 40 за свиней второго, всего 100 сольдовъ; 5-ть же штукъ изъ каждаго стада останется въ прибыли». Требуется разгадать эту загадку.

Въ сборник? Алькуина содержится изв?стная загадка о волк?, коз? и капуст?, которыхъ надо перевезти черезъ р?ку, съ такимъ условіемъ, что въ лодк? нельзя пом?щать волка съ козой, козы съ капустой, и оставлять на берегу тоже нельзя вм?ст?, потому что они съ?дятъ; какъ же это устроить?

 Лучшій сборникъ задачъ-загадокъ издалъ Баше-де-Мезиріакъ въ 1612 году, заглавіе его такое: Problemes plaisantes et delictables qui se font par les nombres. Въ немъ пом?щена большая часть т?хъ задачъ, какія встр?чаются и сейчасъ въ сборникахъ этого рода, наприм., о задуманныхъ числахъ, о работник?, котораго нанимаетъ хозяинъ съ условіемъ платить ему за рабочіе дни и вычитать за прогульные, и т. д.

 Въ старинныхъ русскихъ ари?метикахъ можно отм?тить такія интересныя задачи: «I. Пришелъ христіянинъ въ торгъ и принесъ лукошко яицъ. И торговцы его спрошали: много-ли у тебя въ томъ лукошк? яицъ? И христіянинъ молвилъ имъ такъ: язъ, господине, всего не помню на перечень, сколько въ томъ лукошк? яицъ. Только язъ помню: перекладывалъ язъ т? яйца изъ лукошка по 2 яйца, ино одно яйцо лишнее осталось на земли; и язъ клалъ въ лукошко по 3 яйца, ино одно же яйцо осталось; и язъ клалъ по 4 яйца, ино одно же яйцо осталось; и язъ клалъ по 5 яицъ, ино одно же яйцо осталось: и язъ ихъ клалъ по 6 яицъ, ино одно же яйцо осталось; и язъ клалъ по 7 яицъ, ино все посему пришло. Ино, сколько яицъ въ томъ лукошк? было, сочти ми? Придетъ было 721. II. Левъ съ?лъ овцу однимъ часомъ, а волкъ съ?лъ овцу въ 2 часа, а песъ съ?лъ овцу въ 3 часа. Ино, хощешь в?дати, сколько бы они вс? три: левъ, волкъ и песъ овцу съ?ли вм?ст? вдругь и сколько бы они скоро ту овцу съ?ли, сочти ми[11])?

III. О деньгахъ въ куч? в?дати. Аще хощеши въ куч? деньги в?дати, и ты вели перевесть по 3 деньги. А что останется отъ 3-хъ—2 или 1, и ты за 1 по 70. Да опять вели перевести по 5, и что останется—4 или 3, или 2, или 1, и ты за 1 клади по 21. Да опять вели перевести по 7, и что останется — 6 или 5, или 4, или 3, или 2, или 1, и ты тако же за всякій 1 клади по 15. Да что въ остаткахъ перечни родились, и т? перечни сочти вм?сто, а сколько станетъ, и ты изъ того перечню вычитай по 105, и что останется отъ сто пяти или сама сто пять, то столько въ куч? и есть».

Немаловажной статьей среди математическихъ развлеченій были магическіе квадраты. Что такое магическій квадратъ? Это рядъ чиселъ отъ 1 и до какого-нибудь пред?ла, разм?щенныхъ по кл?ткамъ квадрата такъ, что сумма чиселъ по діагоналямъ и по сторонамъ остается постоянной. Вотъ прим?ры, взятые изъ сборника Алькуина (этотъ ученый особенно любилъ магическіе квадраты):

Они встръчаются въ сочиненiяхъ секты «Чистыхъ братьевъ», существовавшей въ X в. по Р. X. въ г. Аль-Бассра. Эта секта приписывала магическимъ квадратамъ особенную таинственную силу. В?рили, что они способны изм?нить расположеніе зв?здъ при рожденіи младенца и помочь ему.

Въ конц? ари?метики Іоанна Севильскаго (1150 года) приведенъ такой магическій квадратъ:

Объясненія не дано, только пом?щены т? же самыя черточки, какія и на этомъ чертеж?.

Исторія алгебры.

Хотя народы древвяго міра не знали нашей алгебры, но это не м?шало имъ заниматься такими вопросами, которые принадлежатъ, собственно говоря, алгебр?. Еще у египтянъ въ древн?йшей рукописи-папирус? Ринда р?шаются уравненія первой степени съ однимъ неизв?стнымъ; въ этихъ уравненіяхъ мы встр?чаемъ и знаки, напр., своеобразный знакъ равенства / / . Задача пом?щена, между прочимъ, такая: «? ц?лаго числа вм?ст? съ его ?, и 1/7 и съ этимъ же ц?лымъ числомъ даютъ 33, найти неизв?стное»; прежде всего отбираются изв?стные члены въ одну часть, а неизв?стные въ другую, коэффиціенты при неизв?стныхъ представляются основными дробями (т. е. съ числителемъ 1) или же выражаются въ одинаковыхъ доляхъ и складываются; величина неизв?стнаго опред?ляется такъ: въ первомъ случа? умножается коэффиціентъ на подходящее число, такъ чтобы въ произведеніи получился изв?стный членъ, а во второмъ множатъ изв?стный членъ на знаменателя коэффиціента и полученное д?лятъ на числителя.

Греческіе ученые занимались алгеброй въ періодъ времени съ VI ст. до Р. X. и кончая IV ст. по Р. X. Они разработали н?сколько отд?ловъ ея, но ихъ труды идутъ въ иномъ направленіи, ч?мъ какого держится нов?йшая математика, именно они носятъ на себ? геометрическую окраску.

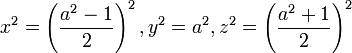
Прежде всего Пи?агоръ (въ VI ст. до Р. X.) и Платонъ (въ V ст.) р?шили въ ц?лыхъ числахъ уравненіе х2+y2=z2.

Пи?агоръ далъ такія формулы:

гд? а равно любому нечетному числу; по Платону

гд? а любое четное число.

Діофантъ, жввшій въ Александріи въ 4 в. по Р. X., оказалъ алгебр? большія услуги. До него древніе не знали употребленія буквъ при доказательствахъ въ общемъ вид?, Діофантъ же первый сталъ вводить различные знаки для неизв?стныхъ величинъ, главнымъ образомъ греческія буквы; ему обязана своей разработкой глава объ уравненіяхъ, именно объ уравненіяхъ первой степени со многими неизв?стными и о полныхъ квадратныхъ уравненіяхъ. Вотъ прим?ръ изъ Діофанта:

x + y = 10, x2 + y2 = 68

д?лимъ 1-е уравненіе на 2 и получаемъ

теперь положимъ, что


тогда

x = 5 + d, y = 5 ? d  (5 + d)2 + (5 ? d)2 = 68 50 + 2d2 = 68 d = 3, x = 8, y = 2

Діофантъ занимался также неопред?ленными уравненіями первой и второй степени, но ему не удалось найти полнаго ихъ р?шенія въ ц?лыхъ числахъ; это сд?лали уже Эйлеръ, н?мецкій математикъ 18 в., и французскій математикъ Лагранжъ (1736—1813).

Индусы называли неизв?стныя величины, которыя мы теперь обозначаемъ черезъ х, у, z и т. д., черной величиной, голубой, желтой, зеленой, красной и обозначали ихъ первыми буквами т?хъ словъ, которыя выражаютъ эти цв?та. Индусскіе математики 6—12 в по Р. X. знакомы были, правда, съ греческой ари?метикой и алгеброй, но они далеко опередили грековъ. Они знали ирраціональныя числа, знали, что всякій квадратный корень им?етъ два значенія: положительное и отрицательное, и дошли до мнимыхъ величинъ. Баскара (въ 12 в.) принялся за кубическія уравненія, и вотъ его прим?ръ:

x4 + 48x = 12x2 + 72

вычтемъ по

12x2 + 64 = 12x2 + 64

————————————————————————

x3 ? 12x2 + 48x ? 64 = 8

(x ? 4)3 = 23

x ? 4 = 2

x = 6


Вплоть до 18 в?ка индусскіе математики являлись учителями европейскихъ математиковъ и образцами для нихъ, и лишь Лагранжу и Эйлеру удалось двинуть науку дал?е и превзойти индусовъ.

Арабскіе ученые переняли отъ индусовъ начала алгебры и перенесли въ Европу, гд? ею занялись главнымъ образомъ итальянцы.

Лука-де-Бурго (въ 15 ст.) перешелъ къ уравненіямъ 4-й степени и р?шалъ т? изъ нихъ, которыя приводятся къ квадратнымъ. Тарталья и Карданъ (въ 16 ст.) объяснили р?шеніе кубическихъ уравненій, притомъ всякихъ безъ исключенія, а Людовикъ Феррари далъ общую формулу р?шенія уравненій 4-й степени.

Віета (1540—1603) положилъ начало общей ари?метик? т?мъ, что сталъ обозначать буквами не только искомыя количества, но и данныя; до него же буквами обозначались только т? количества, которыя требавалось опред?лить; по способу Віета изв?стныя величины въ уравненіяхъ обозначались согласными буквами латинскаго алфавита, а неизв?стныя—гласными.

За Віетой сл?довалъ англичанинъ Гарріотъ (1560—1621). Онъ нашелъ, что всякое уравненіе высшихъ степеней является произведеніемъ уравненій низшихъ степеней, что между коэффиціентами и корнями уравненія есть опред?ленная зависимость; онъ ввелъ знакъ неравенства и предложилъ писать буквенныхъ множителей рядомъ, безъ всякаго знака; но коэффиціентъ онъ отд?ляетъ отъ буквы точкой и степени обозначаетъ повтореніемъ количества, т. е. вм?сто a3 пишетъ aaa. Французъ Декартъ (1596—1650) положилъ начало аналитической геометріи и ввелъ нын?шнюю форму ц?лыхъ степеней. Голландецъ Жираръ ввелъ скобки, Исаакъ Ньютонъ (1642—1727) — дробныя степени и биномъ, шотландецъ Непиръ (въ 17 ст.) — логари?мы съ натуральнымъ или гиперболическимъ основаніемъ е=2,7182818...

Вскор? посл? него англійскій профессоръ Бриггь (ум. въ 1630) вычислилъ логари?мы при основаніи 10. Такимъ образомъ, получается 7 д?йствій общей ари?метики: сложеніе, вычитаніе, умноженіе, д?леніе, возвышеніе въ степень, извлеченіе корня, логари?мированіе; иные присоединяютъ еще восьмое д?йствіе—нахожденіе числа по логари?му. Теорія чиселъ, т. е. ученіе о свойствахъ чиселъ, была изв?стна въ н?которой степени еще древнимъ грекамъ. Особенное развитіе она получила въ нов?йшее время.


Примечания:



1

автор почему-то обозначает греческие обозначения чисел латинскими буквами, а не греческими, как было бы логичнее — Прим. «авт. док.»



10

 Оддо, педагогъ 12 в. по Р. X., очень затрудняется въ объясненіяхъ и оправдываетъ себя т?мъ, что «все это гораздо легче объяснить устно, ч?мъ письменно».



11

 Эта задача встр?чается у Видманна, германскаго педагога XV в?ка; у него она выд?лена въ особое правило—«правило о льв?, волк? и собак?, съ?дающихъ овцу».







 


Главная | В избранное | Наш E-MAIL | Добавить материал | Нашёл ошибку | Другие сайты | Наверх