• 3.1. Ньютоновская концепция абсолютного пространства и времени. Законы движения
  • 3.2. Законы сохранения
  • 3.3. Принципы современной физики
  • 3.4. Понятие о состоянии системы. Лапласовский детерминизм
  • 3.5. Специальная теория относительности (СТО)
  • 3.6. Начала термодинамики. Представления об энтропии
  • Вопросы для самопроверки
  • Глава 3

    ПРОСТРАНСТВО, ВРЕМЯ, ПРИНЦИПЫ ОТНОСИТЕЛЬНОСТИ

    3.1. Ньютоновская концепция абсолютного пространства и времени. Законы движения

    Вопросы пространства и времени всегда интересовали человеческое общество. Одна из концепций этих понятий идет от древних атомистов – Демокрита, Эпикура и др. Они ввели в научный оборот понятие пустого пространства и рассматривали его как однородное и бесконечное.

    В процессе создания общей картины мироздания Исаак Ньютон (1642–1726), конечно, также не мог обойти вопрос понятия пространства и времени.

    В 1687 г. он опубликовал труд «Математические начала натуральной философии», который стал вершиной достижений естествознания XVII в.

    По Ньютону, мир состоит из материи, пространства и времени. Эти три категории независимы друг от друга. Материя размещается в бесконечном пространстве. Движение материи происходит в пространстве и времени. Ньютон разделял пространство на абсолютное и относительное. Абсолютное пространство неподвижно, бесконечно. Относительное – это часть абсолютного. Так же он классифицировал и время. Подабсолютным, истинным (математическим) временем он понимал время, которое течет всегда и везде равномерно, а относительное время, по Ньютону, есть мера продолжительности, которая существует в реальной жизни: секунда, минута, час, сутки, месяц, год. У Ньютона абсолютное время существует и длится равномерно само по себе, безотносительно к каким-либо событиям. Абсолютное пространство и абсолютное время представляют собой вместилище всех материальных тел и пространств и не зависят ни от этих тел, ни от этих процессов, ни друг от друга.

    Массу Ньютон определяет как количество материи и вводит понятие «пассивной силы» (силы инерции) и «активной силы», создающей движение тел.

    Изучив и выявив закономерности движения, Ньютон таким образом сформулировал его законы:

    1– й закон. Всякому телу продолжать свое состояние покоя или равномерного прямолинейного движения, поскольку оно не принуждается приложенными силами изменять это состояние.

    2– й закон. Изменению движения быть пропорциональным приложенной движущей силе и происходить по направлению той прямой, по которой эта сила действует.

    3– й закон. Действию всегда встречать равное противодействие, или воздействию двух тел друг на друга быть между собой равными и направленными в противоположные стороны.

    В наше время знаменитые законы формулируются в более удобной форме:

    > 1. Всякое материальное тело сохраняет состояние покоя или равномерного прямолинейного движения до тех пор, пока воздействие со стороны других тел не заставит его изменить это состояние. Стремление тела сохранить состояние покоя или равномерного прямолинейного движения называется инертностью. Поэтому первый закон называют также законом инерции.

    > 2. Ускорение, приобретаемое телом, прямо пропорционально силе, действующей натело, и обратно пропорционально массе тела.

    > 3. Силы, с которыми действуют друг на друга взаимодействующие тела, равны по величине и противоположны по направлению.

    Второй закон Ньютона нам известен в виде

    F = m ? a, или a = F/m,

    где ускорение а, получаемое телом поддействием силы F, обратно пропорционально массе тела m. Величина m называется инертной массой тела, она характеризует способность тела оказывать сопротивление действующей («активной») силе, то есть сохранять состояние покоя. Второй закон Ньютона справедлив только в инерциальных системах отсчета.

    Первый закон можно получить из второго, так как в случае отсутствия воздействия на тело со стороны других сил ускорение также равно нулю. Однако первый закон рассматривается как самостоятельный закон, поскольку он утверждает существование инерциальных систем отсчета.

    > Инерииальные системы отсчета – это такие системы, в которых справедлив закон инерции: материальная точка, когда на нее не действуют никакие силы (или действуют силы, взаимно уравновешенные), находится в состоянии покоя или равномерного прямолинейного движения.

    Теоретически может существовать сколь угодно равноправных инерциальных систем отсчета, и во всех таких системах законы физики одинаковы. Это утверждает принцип относительности Галилея (1636 г.).

    Научное доказательство существования всемирного тяготения и математическое выражение описывающего его закона стало возможным только на основе открытых И. Ньютоном законов механики. Закон всемирного тяготения был сформулирован Ньютоном в труде «Математические начала натуральной философии» (1687 г.).

    Закон всемирного тяготения Ньютон формулирует в следующих тезисах: «тяготение существует для всех тел вообще и пропорционально массе каждого из них», «тяготение к отдельным равным частицам тел обратно пропорционально квадратам расстояний мест к частицам». Этот закон известен в виде:

    где m1, ш2 – массы двух частиц, r – расстояние между ними, G – гравитационная постоянная (в системе СИ G = 6,672 · 10-11 м2/кг2). Физический смысл гравитационной постоянной заключается в том, что она характеризует силу притяжения двух масс весом в 1 кг на расстоянии в 1 м.

    Открыв закон всемирного тяготения, Ньютон смог дать ответ на вопрос, почему Луна обращается вокруг Земли и почему планеты движутся вокруг Солнца. В каждом отдельном случае он мог рассчитать силу тяготения. Но как передается взаимодействие между массами, притягивающимися друг к другу, какова природа этой силы, Ньютон объяснить не мог.

    В трудах Ньютона тяготение – это сила, которая действует на больших расстояниях и как бы без какого-то материального посредника.

    Это привело к понятию «дальнодействие». Природу «дальнодействия» Ньютон объяснить не мог. Он думал о каком-то материальном «агенте», с помощью которого осуществляется гравитационное взаимодействие, но в решении этой проблемы он потерпел неудачу. Основываясь на законе всемирного тяготения Ньютона, небесная механика допускает принципиальную возможность мгновенной передачи сигналов, что противоречит современной физике (общей теории относительности). Поэтому буквальное понимание закона тяготения Ньютона с современной точки зрения недопустимо.

    Ньютоновская механистическая парадигма в естествознании господствовала более 200 лет, хотя и подвергалась критике по ряду позиций, в том числе и в понимании пространства и времени (Лейбниц, Гегель, Беркли и др.). В конце XIX и в начале XX в. возникли принципиально новые научные представления об окружающей природе. Появились новые парадигмы: сначала релятивистская, а затем квантовая (см. ранее). В физическую картину мира полноправно вошла концепция поля как материальной среды, связывающей частицы вещества, все физические объекты материального мира. В современной физике известны четыре вида взаимодействия материальных объектов: электромагнитное, гравитационное, сильное и слабое (см. выше). Они ответственны за все процессы взаимодействия.

    3.2. Законы сохранения

    Рассмотрим наиболее общие законы сохранения, которым подчиняется весь материальный мир и которые вводят в физику ряд фундаментальных понятий: энергия, количество движения (импульс), момент импульса, заряд.

    Закон сохранения импульса

    Как известно, количеством движения, или импульсом, называют произведение скорости на массу движущегося тела: p = mv Эта физическая величина позволяет найти изменение движения тела за какой-нибудь определенный промежуток времени. Для решения этой задачи следовало бы применять второй закон Ньютона бесчисленное число раз, во все промежуточные моменты времени. Закон сохранения количества движения (импульса) можно получить, используя второй и третий законы Ньютона. Если рассматривать две (или более) материальные точки (тела), взаимодействующие между собой и образующие систему, изолированную от действия внешних сил, то за время движения импульсы каждой точки (тела) могут изменяться, но общий импульс системы должен оставаться неизменным:

    m1v + m1v2 = const.

    Взаимодействующие тела обмениваются импульсами при сохранении общего импульса.

    В общем случае получаем:

    где P? – общий, суммарный импульс системы, mivi – импульсы отдельных взаимодействующих частей системы. Сформулируем закон сохранения импульса:

    > Если сумма внешних сил равна нулю, импульс системы тел остается постоянным при любых происходящих в ней процессах.

    Пример действия закона сохранения импульса можно рассмотреть на процессе взаимодействия лодки с человеком, которая уткнулась носом в берег, а человек в лодке быстро идет из кормы в нос со скоростью v1. В этом случае лодка отойдет от берега со скоростью v2:



    Аналогичный пример можно привести со снарядом, который разорвался в воздухе на несколько частей. Векторная сумма импульсов всех осколков равна импульсу снаряда до разрыва.

    Закон сохранения момента импульса

    Вращение твердых тел удобно характеризовать физической величиной, которая называется моментом импульса.

    При вращении твердого тела вокруг неподвижной оси каждая отдельная частица тела движется по окружности радиусом ri с какой-то линейной скоростью vi. Скорость vi и импульс p = mivi перпендикулярны радиусу ri. Произведение импульса p = mivi на радиус ri называется моментом импульса частицы:

    Li = mi vi ri = Pi ri ·

    Момент импульса всего тела:

    Если заменить линейную скорость угловой щ (vi = ?ri), то

    где J = mr2– момент инерции.

    Момент импульса замкнутой системы не изменяется во времени, то есть L = const и J? = const.

    При этом моменты импульса отдельных частиц вращающегося тела могут как угодно изменяться, однако общий момент импульса (сумма моментов импульса отдельных частей тела) остается постоянным. Продемонстрировать закон сохранения момента импульса можно, наблюдая вращение фигуриста на коньках с руками, вытянутыми в стороны, и с руками, поднятыми над головой. Так как J? = const, то во втором случае момент инерции J уменьшается, значит, при этом должна возрасти угловая скорость щ, так как J? = const.

    Закон сохранения энергии

    Энергия – это универсальная мера различных форм движения и взаимодействия. Энергия, отданная одним телом другому, всегда равна энергии, полученной другим телом. Для количественной оценки процесса обмена энергией между взаимодействующими телами в механике вводится понятие работы силы, вызывающей движение.

    Кинетическая энергия механической системы – это энергия механического движения этой системы. Сила, вызывающая движение тела, совершает работу, а энергия движущегося тела возрастает на величину затраченной работы. Как известно, тело массой m, движущееся со скоростью v, обладает кинетической энергией E = mv2/2.

    Потенциальная энергия – это механическая энергия системы тел, которые взаимодействуют посредством силовых полей, например посредством гравитационных сил. Работа, совершаемая этими силами, при перемещении тела из одного положения в другое не зависит от траектории движения, а зависит только от начального и конечного положения тела в силовом поле.

    Такие силовые поля называют потенциальными, а силы, действующие в них, – консервативными. Гравитационные силы являются консервативными силами, а потенциальная энергия тела массой m, поднятого на высоту h над поверхностью Земли, равна

    Епот = mgh,

    где g – ускорение свободного падения.

    Полная механическая энергия равна сумме кинетической и потенциальной энергии:

    E = Екин + Епот

    Закон сохранения механической энергии (1686 г., Лейбниц) гласит, что в системе тел, между которыми действуют только консервативные силы, полная механическая энергия сохраняется неизменной во времени. При этом могут происходить превращения кинетической энергии в потенциальную и обратно в эквивалентных количествах.

    Существуют еще один вид систем, в которых механическая энергия может уменьшаться за счет преобразования в другие формы энергии. Например, при движении системы с трением часть механической энергии уменьшается за счет трения. Такие системы называются диссипативными, то есть системами, рассеивающими механическую энергию. В таких системах закон сохранения полной механической энергии несправедлив. Однако при уменьшении механической энергии всегда возникает эквивалентное этому уменьшению количество энергии другого вида. Таким образом, энергия никогда не исчезает и не появляется вновь, она лишь превращается из одного вида в другой. Здесь проявляется свойство неуничтожимости материи и ее движения.

    Закон сохранения заряда

    Электрические заряды – это источники электромагнитного поля. Вся совокупность электрических явлений есть проявление существования движения и взаимодействия электрических зарядов.

    В конце XIX в. английским физиком Томсоном был открыт электрон – носитель отрицательного элементарного электрического заряда (-1,6 · 10-19 Кл), а в начале XX в. Резерфорд открыл протон, обладающий таким же по величине элементарным положительным зарядом. Поскольку каждая частица характеризуется определенным, присущим ей электрическим зарядом, закон сохранения заряда можно рассматривать как следствие сохранения числа частиц, если при этом не происходит взаимопревращения частиц.

    При электризации физических тел число заряженных частиц не меняется, а происходит лишь их перераспределение в пространстве. В общем закон сохранения заряда можно сформулировать так:

    > в замкнутой системе алгебраическая сумма зарядов системы остается неизменной во времени, какие бы процессы ни происходили внутри этой замкнутой системы.

    Такое понятие существовало в физике давно, а в 1843 г. М. Фарадей экспериментально подтвердил этот закон. Как и другие законы сохранения, закон сохранения заряда справедлив на всех структурных уровнях материального мира.

    Закон сохранения заряда вместе с законом сохранения энергии характеризует устойчивость электрона. Он не может превратиться самопроизвольно в более тяжелую частицу или в более легкую.

    В первом случае это не позволяет закон сохранения энергии, а во втором – закон сохранения заряда.

    3.3. Принципы современной физики

    Принцип симметрии

    Под симметрией понимают однородность, пропорциональность, гармонию каких-то материальных объектов. Асимметрия – понятие противоположное. Любой физический объект содержит элементы симметрии и асимметрии. Рассмотрим симметрии в физике, химии и биологии.

    В физике симметрия определяется следующим образом: если физические законы не меняются при определенных преобразованиях, которым может быть подвергнута система (физический объект), то считается, что эти законы обладают симметрией (или инвариантны) относительно этих преобразований.

    Симметрии делят на пространственно-временные и внутренние, последние относятся только к микромиру.

    Среди пространственно-временных рассмотрим основные.

    1. Сдвиг времени. Изменение начала отсчета не изменяет физических законов. Время однородно по всему пространству.

    2. Сдвиг системы отсчета пространственных координат. Такая операция не изменяет физических законов. Все точки пространства равноправны, и пространство однородно.

    3. Поворот системы отсчета пространственных координат также сохраняет физические законы неизменными – значит, пространство изотропно.

    4. Классический принцип относительности Галилея устанавливает симметрию между покоем и равномерным прямолинейным движением.

    5. Обращение знака времени не изменяет фундаментальных законов в макромире, то есть процессы макромира могут описываться и при обращении знака времени. На уровне макромира наблюдается необратимость процессов, так как они связаны с неравновесным состоянием Вселенной.

    В химии симметрии проявляются в геометрической конфигурации молекул. Это определяет как химические, так и физические свойства молекул. Большинство простых молекул имеют оси симметрии, плоскости симметрии. Например, молекула аммиака NH3 представляет собой правильную треугольную пирамиду, молекула метана CH4 – правильный тетраэдр. Представления о симметрии весьма полезны при теоретическом анализе строения комплексных соединений, их свойств и поведения.

    В биологии симметрии давно изучаются специалистами. Наибольший интерес представляет структурная симметрия биообъектов. Она проявляется в виде того или иного закономерного повторения. На низших этапах развития живой природы встречаются представители всех классов точечной симметрии (правильные многогранники, шары). На более высоких ступенях эволюции встречаются растения и животные в основном с аксиальной и актиноморфной симметрией. Биообъекты с аксиальной симметрией характеризуются осью симметрии (медуза, цветок флокса), а с актиноморфной – осью симметрии и пересекающимися на этой оси плоскостями (например, бабочка с двусторонней симметрией).

    Широко известна симметрия кристаллов. Это свойство кристаллов как бы совмещаться с собой в различных положениях путем поворотов, отражений, параллельных переносов. Симметрия внешней формы кристаллов определяется симметрией их атомного строения.

    Все это связано с симметрией физических свойств кристаллов.


    Симметрия и законы сохранения

    В 1918 г. немецкий математик Эмми Нетер доказала фундаментальную теорему, устанавливающую связь между свойствами симметрии и законами сохранения. Суть теоремы в том, что непрерывными преобразованиями в пространстве-времени, оставляющими инвариантным действие, являются: сдвиг во времени, сдвиг в пространстве, трехмерное пространственное вращение, четырехмерные вращения в пространстве-времени. Согласно теореме Нетер, из инвариантности относительно сдвига во времени следует закон сохранения энергии; из инвариантности относительно пространственных сдвигов – закон сохранения импульса; из инвариантности относительно пространственного вращения – закон сохранения момента импульса; инвариантность относительно преобразований Лоренца (четырехмерные вращения в пространстве-времени) – обобщенный закон движения центра масс: центр масс релятивистской системы движется равномерно и прямолинейно. Теорема Нетер относится не только к пространственно-временным симметриям, но и к внутренним. Например, при всех превращениях элементарных частиц сумма электрических зарядов частиц сохраняется неизменной.

    Закон сохранения заряда в макросистемах был подтвержден экспериментальным путем задолго до Нетер, в 1843 г. М. Фарадеем. Строгого научного объяснения причин выполнения закона сохранения заряда пока нет.


    Принцип дополнительности

    Принцип дополнительности является основополагающим в современной физике. Понятие дополнительности было введено в науку Н. Бором в 1928 г. Это было время становления квантовой механики. Трудно переоценить значение принципа дополнительности для развития наших представлений о мире и познания различных закономерностей. Мы практически всегда оперируем принципом дополнительности. Так, для характеристики многих физических процессов используется одновременно две величины. Например, при оценке движения материальной точки – координата точки и ее скорость. Одна величина как бы дополняет другую. Это характерно практически для любых движущихся материальных объектов. Так работает на практике принцип дополнительности.

    Особенно ярко принцип дополнительности выступает в микромире. Все микрочастицы имеют дуалистическую корпускулярно-волно-вую природу. Инструментальные способы позволили обнаружить эту двойственность микрочастиц сначала у фотона, затем у электрона и других микрочастиц. Любое устройство для детектирования микрочастиц регистрирует их как нечто целое, локализованное в весьма малой области пространства. С другой стороны, можно наблюдать дифракцию и интерференцию этих же микрочастиц на кристаллических решетках или искусственно созданных препятствиях при их движении, то есть микрочастицы обладают выраженными волновыми свойствами.

    Однако при оценке явлений окружающего нас мира мы находимся в плену наших макроскопических представлений. Поэтому наблюдатель, оценивая микропроцессы, должен, принимая без сомнения микрочастицы как локализованные объекты (частицы или корпускулы), одновременно «домысливать» их волновые свойства. Наблюдатель должен применять два дополняющих друг друга понятия. Только в совокупности этих двух наборов понятий информация о микропроцессах будет достоверной.

    Таким образом, одна характеристика способна отразить только часть истины, а собрав противоречащие друг другу характеристики одного объекта, можно получить полную картину этого объекта. В общей форме принцип дополнительности можно сформулировать так:

    > В области квантовых явлений наиболее общие физические свойства какой-либо системы должны быть выражены с помощью дополняющих друг друга пар независимых переменных, каждая из которых может быть лучше определена только за счет соответствующего уменьшения степени определенности другой.[2]


    Принцип неопределенности Гейзенберга

    Принцип неопределенности является фундаментальным законом микромира. Его можно считать частным выражением принципа дополнительности.

    В классической механике частица движется по определенной траектории, и в любой момент времени возможно точно определить ее координаты и ее импульс. Относительно микрочастицы такое представление неправомерно. Микрочастица не имеет четко выраженной траектории, она обладает и свойствами частицы, и свойствами волны (корпускулярно-волновой дуализм). В этом случае понятие «длина волны в данной точке» не имеет физического смысла, а поскольку импульс микрочастицы выражается через длину волны – p = к/л, то отсюда следует, что микрочастица с определенным импульсом имеет полностью неопределенную координату, и наоборот.

    В. Гейзенберг (1927 г.), учитывая двойственную природу микрочастиц, пришел к выводу, что невозможно одновременно с любой наперед заданной точностью характеризовать микрочастицу и координатами, и импульсом.

    Соотношениями неопределенностей Гейзенберга называются неравенства:

    ?x · ?px ? h, ?y · ?py ? h, ?z · ?pz ? h.

    Здесь ?x, ?y, ?z означают интервалы координат, в которых может быть локализована микрочастица (эти интервалы и есть неопределенности координат), ?px, ?py, ?pz означают интервалы проекций импульса на координатные оси x, y, z, h – постоянная Планка. Согласно принципу неопределенностей, чем точнее фиксируется импульс, тем значительнее будет неопределенность по координате, и наоборот.


    Принцип соответствия

    По мере развития науки, углубления накопленных знаний новые теории становятся более точными. Новые теории охватывают все более широкие горизонты материального мира и проникают в ранее неизведанные глубины. Динамические теории сменяются статическими.

    Каждая фундаментальная теория имеет определенные границы применимости. Поэтому появление новой теории не означает полного отрицания старой. Так, движение тел в макромире со скоростями значительно меньшими, чем скорость света, всегда будет описываться классической механикой Ньютона. Однако при скоростях, соизмеримых со скоростью света (релятивистских скоростях), механика Ньютона неприменима.

    Объективно имеет место преемственность фундаментальных физических теорий. Это и есть принцип соответствия, который можно сформулировать следующим образом: никакая новая теория не может быть справедливой, если она не содержит в качестве предельного случая старую теорию, относящуюся к тем же явлениям, поскольку старая теория уже оправдала себя в своей области.

    3.4. Понятие о состоянии системы. Лапласовский детерминизм

    В классической физике система понимается как совокупность каких-то частей, связанных между собой определенным образом. Эти части (элементы) системы могут воздействовать друг на друга, и предполагается, что их взаимовоздействие всегда может оцениваться с позиций причинно-следственных отношений между взаимодействующими элементами системы.

    Философское учение об объективности закономерной взаимосвязи и взаимообусловленности явлений материального и духовного мира называют детерминизмом. Центральным понятием детерминизма является положение о существовании причинности; причинность имеет место, когда одно явление порождает другое явление (следствие).

    Классическая физика стоит на позициях жесткого детерминизма, который называют лапласовским, – именно Пьер Симон Лаплас провозгласил принцип причинности как фундаментальный закон природы. Лаплас считал, что если известно расположение элементов (каких-то тел) системы и действующие в ней силы, то можно с полной достоверностью предсказать, как будет двигаться каждое тело этой системы сейчас и в будущем. Он писал: «Мы должны рассматривать существующее состояние Вселенной как следствие предыдущего состояния и как причину последующего. Ум, который в данный момент знал бы все силы, действующие в природе, и относительное положение всех составляющих ее сущностей, если бы он еще был столь обширен, чтобы ввести в расчет все эти данные, охватил бы одной и той же формулой движения крупнейших тел Вселенной и легчайших атомов. Ничто не было бы для него недостоверным, и будущее, как и прошедшее, стояло бы перед его глазами». Традиционно это гипотетическое существо, которое могло бы (по Лапласу) предсказать развитие Вселенной, в науке называют «демоном Лапласа».

    В классический период развития естествознания утверждается представление о том, что только динамические законы полностью характеризуют причинность в природе.

    Лаплас пытался объяснить весь мир, в том числе физиологические, психологические, социальные явления с точки зрения механистического детерминизма, который он рассматривал как методологический принцип построения всякой науки. Образец формы научного познания Лаплас видел в небесной механике. Таким образом, лапласовский детерминизм отрицает объективную природу случайности, понятие вероятности события.

    Дальнейшее развитие естествознания привело к новым представлениям причинности и следствия. Для некоторых природных процессов трудно определить причину – например, радиоактивный распад происходит случайно. Нельзя однозначно связать время «вылета» ?– или ?-частицы из ядра и значение ее энергии. Подобные процессы объективно случайны. Особенно много таких примеров в биологии. В нынешнем естествознании современный детерминизм предлагает разнообразные, объективно существующие формы взаимосвязи процессов и явлений, многие из которых выражаются в виде соотношений, не имеющих выраженных причинных связей, то есть не содержащих в себе моментов порождения одного другим. Это и пространственно-временные связи, отношения симметрии и определенных функциональных зависимостей, вероятностные соотношения и т. д. Однако все формы реальных взаимодействий явлений образуются на основе всеобщей действующей причинности, вне которой не существует ни одного явления действительности, в том числе и так называемых случайных явлений, в совокупности которых проявляются статические законы.

    Наука продолжает развиваться, обогащается новыми концепциями, законами, принципами, что свидетельствует об ограниченности лапласовского детерминизма. Однако классическая физика, в частности классическая механика, имеет и сегодня свою нишу применения. Ее законы вполне применимы для относительно медленных движений, скорость которых значительно меньше скорости света. Значение классической физики в современный период хорошо определил один из создателей квантовой механики Нильс Бор: «Как бы далеко ни выходили явления за рамки классического физического объяснения, все опытные данные должны описываться при помощи классических понятий. Обоснование этого состоит просто в констатации точного значения слова «эксперимент». Словом «эксперимент» мы указываем на такую ситуацию, когда мы можем сообщать другим, что именно мы сделали и что именно мы узнали. Поэтому экспериментальная установка и результаты наблюдений должны описываться однозначным образом на языке классической физики».

    3.5. Специальная теория относительности (СТО)

    Введение в СТО

    С теорией относительности мы знакомимся еще в средней школе. Эта теория объясняет нам явления окружающего мира таким образом, что это противоречит «здравому смыслу». Правда, еще тот же А. Эйнштейн в свое время заметил: «Здравый смысл – это предрассудки, которые складываются в возрасте до восемнадцати лет».

    Еще в XVIII в. ученые пытались ответить на вопросы о том, как передается гравитационное взаимодействие и как распространяется свет (позже вообще любые электромагнитные волны). Поиски ответов на эти вопросы и явились причиной разработки теории относительности.

    В XIX в. физики были убеждены, что существует так называемый эфир (мировой эфир, светоносный эфир). По представлениям прошлых столетий, это некая всепроникающая всезаполняющая среда. Развитие физики во второй половине XIX в. требовало от ученых максимально конкретизировать представления об эфире. Если предположить, что эфир подобен газу, то в нем могли бы распространяться только продольные волны, а электромагнитные волны – поперечные. Непонятно, как в таком эфире могли бы двигаться небесные тела. Имелись и другие серьезные возражения против эфира. В то же время шотландский физик Джеймс Максвелл (1831–1879) создал теорию электромагнитного поля, из которой, в частности, следовала величина конечной скорости распространения этого поля в пространстве – 300 000 км/с. Немецкий физик Генрих Герц (1857–1894) доказал опытным путем идентичность света, тепловых лучей и электромагнитного «волнового движения». Он определил, что электромагнитная сила действует со скоростью 300 000 км/с. Больше того, Герц установил, что «электрические силы могут отделяться от весомых тел и существовать далее самостоятельно как состояние или изменение пространства». Однако ситуация с эфиром ставила много вопросов, и для отмены этого понятия требовался прямой эксперимент. Идею его сформулировал еще Максвелл, предложивший использовать в качестве движущегося тела Землю, которая перемещается по орбите со скоростью 30 км/с. Такой опыт требовал крайне высокой точности измерений. Эту труднейшую задачу в 1881 г. решили американские физики А. Майкельсон и Э. Морли. Согласно гипотезе «неподвижного эфира», можно наблюдать «эфирный ветер» при движении Земли сквозь «эфир», а скорость света по отношению к Земле должна зависеть от направления светового луча относительно направления движения Земли в эфире (то есть свет направляется по движению Земли и против). Скорости при наличии эфира должны были быть различными. Но они оказались неизменными. Это показывало, что эфира нет. Этот отрицательный результат стал подтверждением теории относительности. Опыт Майкельсона и Морли по определению скорости света неоднократно повторялся позднее, в 1885–1887 гг., с тем же результатом.

    В 1904 г. на научном конгрессе французский математик Анри Пуанкаре (1854–1912) высказал мнение, что в природе не может быть скоростей, больших скорости света. Тогда же А. Пуанкаре сформулировал принцип относительности как всеобщий закон природы. В 1905 г. он писал: «Невозможность доказать путем опытов абсолютное движение Земли является, очевидно, общим законом природы». Здесь же он указывает на преобразования Лоренца и на общую связь пространственных и временных координат.

    Альберт Эйнштейн (1879–1955), создавая специальную теорию относительности, о результатах Пуанкаре еще не знал. Позже Эйнштейн напишет: «Я совершенно не понимаю, почему меня превозносят как создателя теории относительности. Не будь меня, через год это бы сделал Пуанкаре, через два года сделал бы Минковский, в конце концов, более половины в этом деле принадлежит Лоренцу. Мои заслуги преувеличены». Однако Лоренц со своей стороны в 1912 г. писал: «Заслуга Эйнштейна состоит в том, что он первым выразил принцип относительности в виде всеобщего, строгого закона».


    Два постулата Эйнштейна в СТО

    Для описания физических явлений Галилей ввел понятие инерциальной системы. В такой системе тело, на которое не действует какая-либо сила, находится в покое или в состоянии равномерного прямолинейного движения. Законы, описывающие механическое движение, в различных инерциальных системах одинаково справедливы, то есть не изменяются при переходе от одной системы координат к другой. Например, если пассажир идет в движущемся вагоне поезда в направлении его движения со скоростью v1 = 4 км/ч, а поезд движется со скоростью v2 = 46 км/ч, то скорость пассажира относительно железнодорожного полотна будет v? = v1 + v2 = 50 км/ч, то есть здесь имеется сложение скоростей. По «здравому смыслу» это незыблемый факт:

    v? = v1 + v2

    Однако в мире больших скоростей, соизмеримых со скоростью света, указанная формула сложения скоростей просто неверна. В природе свет распространяется со скоростью с = 300 000 км/с независимо от того, в какую сторону по отношению к наблюдателю движется источник света.

    В 1905 г. в немецком научном журнале «Анналы физики» 26-летний Альберт Эйнштейн опубликовал статью «Об электродинамике движущихся тел». В этой статье он сформулировал два знаменитых постулата, которые легли в основание частной, или специальной, теории относительности (СТО), изменившей классические представления о пространстве и времени.

    В первом постулате Эйнштейн развил классический принцип относительности Галилея. Он показал, что этот принцип является всеобщим, в том числе и для электродинамики (а не только для механических систем). Это положение не было однозначным, так как потребовалось отказаться от ньютоновского дальнодействия.

    Обобщенный принцип относительности Эйнштейна утверждает, что никакими физическими опытами (механическими и электромагнитными) внутри данной системы отсчета нельзя установить, движется эта система равномерно или покоится. При этом пространство и время являются связанными друг с другом, зависящими друг от друга (у Галилея и Ньютона пространство и время независимы друг от друга).

    Второй постулат специальной теории относительности Эйнштейн предложил после анализа электродинамики Максвелла – это принцип постоянства скорости света в вакууме, которая примерно равна 300 000 км/с.

    Скорость света – это самая большая скорость в нашей Вселенной. Больше скорости 300 000 км/с в окружающем нас мире быть не может.

    В современных ускорителях микрочастицы разгоняются до огромных скоростей. Например, электрон разгоняется до скорости vе = 0,9999999 С, где vе, С – скорости электрона и света соответственно. При этом, с точки зрения наблюдателя, масса электрона возрастает в 2500 раз:


    Здесь me0 – масса покоя электрона, me – масса электрона на скорости ve.

    Достичь скорости света электрон не может Однако существуют микрочастицы, которые имеют скорость света, их называют «люксоны».

    К ним относятся фотоны и нейтрино. У них практически нет массы покоя, их нельзя затормозить, они всегда движутся со скоростью света с. Все остальные микрочастицы (тардионы) движутся со скоростями меньше скорости света. Микрочастицы, у которых скорость движения могла бы быть больше скорости света, называют тахионами. Таких частиц в нашем реальном мире нет.

    Исключительно важным результатом теории относительности является выявление связи между энергией и массой тела. При малых скоростях


    где E = m0c2– энергия покоя частицы с массой покоя m0EK – кинетическая энергия движущейся частицы.

    Огромным достижением теории относительности является установленный ею факт эквивалентности массы и энергии (E = m0c2). Однако речь идет не о превращении массы в энергию и наоборот, а о том, что превращение энергии из одного вида в другой соответствует переходу массы из одной формы в другую. Энергию нельзя заменить массой, так как энергия характеризует способность тела выполнять работу, а масса – меру инерции.

    При скоростях релятивистских, близких к скорости света:


    где E – энергия, m – масса частицы, m – масса покоя частицы, с – скорость света в вакууме.

    Из приведенной формулы видно, что для достижения скорости света частице нужно сообщить бесконечно большую энергию. Для фотонов и нейтрино эта формула несправедлива, так как у них v = c.


    Релятивистские эффекты

    Под релятивистскими эффектами в теории относительности понимают изменения пространственно-временных характеристик тел при скоростях, соизмеримых со скоростью света.

    В качестве примера обычно рассматривается космический корабль типа фотонной ракеты, который летит в космосе со скоростью, соизмеримой со скоростью света. При этом неподвижный наблюдатель может заметить три релятивистских эффекта:

    1. Увеличение массы по сравнению с массой покоя. С ростом скорости растет и масса. Если бы тело могло двигаться со скоростью света, то его масса возросла бы до бесконечности, что невозможно. Эйнштейн доказал, что масса тела есть мера содержащейся в ней энергии (E= mc2). Сообщить телу бесконечную энергию невозможно.

    2. Сокращение линейных размеров тела в направлении его движения. Чем больше будет скорость космического корабля, пролетающего мимо неподвижного наблюдателя, и чем ближе она будет к скорости света, тем меньше будут размеры этого корабля для неподвижного наблюдателя. При достижении кораблем скорости света его наблюдаемая длина будет равна нулю, чего быть не может. На самом же корабле космонавты этих изменений не будут наблюдать. 3. Замедление времени. В космическом корабле, движущемся со скоростью, близкой к скорости света, время течет медленнее, чем у неподвижного наблюдателя.

    Эффект замедления времени сказался бы не только на часах внутри корабля, но и на всех процессах, протекающих на нем, а также на биологических ритмах космонавтов. Однако фотонную ракету нельзя рассматривать как инерциальную систему, ибо она во время разгона и торможения движется с ускорением (а не равномерно и прямолинейно).

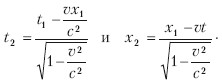
    В теории относительности предложены принципиально новые оценки пространственно-временных отношений между физическими объектами. В классической физике при переходе от одной инерциальной системы (№ 1) к другой (№ 2) время остается тем же – t2 = tL а пространственная координата изменяется по уравнению x2 = x1– vt. В теории относительности применяются так называемые преобразования Лоренца:


    Из отношений видно, что пространственные и временные координаты зависят друг от друга. Что касается сокращения длины в направлении движения, то


    а ход времени замедляется:


    В 1971 г. в США был поставлен эксперимент по определению замедления времени. Изготовили двое совершенно одинаковых точных часов. Одни часы оставались на земле, а другие помещались в самолет, который летал вокруг Земли. Самолет, летящий по круговой траектории вокруг Земли, движется с некоторых ускорением, и значит, часы на борту самолета находятся в другой ситуации по сравнению с часами, покоящимися на земле. В соответствии с законами теории относительности часы-путешественники должны были отстать от покоящихся на 184 нс, а на самом деле отставание составило 203 нс. Были и другие эксперименты, в которых проверялся эффект замедления времени, и все они подтвердили факт замедления. Таким образом, разное течение времени в системах координат, движущихся относительно друг друга равномерно и прямолинейно, является непреложным экспериментально установленным фактом.


    Общая теория относительности

    После опубликования специальной теории относительности в 1905 г. А. Эйнштейн обратился к современному представлению тяготения. В 1916 г. он опубликовал общую теорию относительности (ОТО), которая с современных позиций объясняет теорию тяготения. Она основывается на двух постулатах специальной теории относительности и формулирует третий постулат – принцип эквивалентности инертной и гравитационной масс. Важнейшим выводом ОТО является положение об изменении геометрических (пространственных) и временных характеристик в гравитационных полях (а не только при движении с большими скоростями). Этот вывод связывает ОТО с геометрией, то есть в ОТО наблюдается геометризация тяготения. Классическая геометрия Евклида для этого не годилась. Новая геометрия появилась еще в XIX в. в трудах русского математика Н. И. Лобачевского, немецкого – Б. Римана, венгерского – Я. Больяйя.

    Геометрия нашего пространства оказалась неевклидовой.

    ОТО[3] – физическая теория, в основе которой лежит ряд экспериментальных фактов. Рассмотрим некоторые из них. Гравитационное поле влияет на движение не только массивных тел, но и света. Луч света отклоняется в поле Солнца. Измерения, проведенные в 1922 г. английским астрономом А. Эддингтоном во время солнечного затмения, подтвердили это предсказание Эйнштейна.

    В ОТО орбиты планет незамкнуты. Небольшой эффект такого рода можно описывать как вращение перигелия эллиптической орбиты. Перигелий – это ближайшая к Солнцу точка орбиты небесного тела, которое движется вокруг Солнца по эллипсу, параболе или гиперболе. Астрономам известно, что перигелий орбиты Меркурия поворачивается за столетие примерно на 6000». Это объясняется гравитационными возмущениями со стороны других планет. При этом оставался неустранимый остаток около 40» за столетие. В 1915 г. Эйнштейн объяснил это расхождение в рамках ОТО.

    Существуют объекты, в которых эффекты ОТО играют определяющую роль. К ним относятся «черные дыры». «Черная дыра» возникает тогда, когда звезда сжимается настолько сильно, что существующее гравитационное поле не выпускает во внешнее пространство даже свет. Поэтому из такой звезды не исходит никакой информации. Многочисленные астрономические наблюдения указывают на реальное существование таких объектов. ОТО дает четкое объяснение этому факту.

    В 1918 г. Эйнштейн предсказал на основе ОТО существование гравитационных волн: массивные тела, двигаясь с ускорением, излучают гравитационные волны. Гравитационные волны должны распространяться с той же скоростью, что электромагнитные, то есть со скоростью света. По аналогии с квантами электромагнитного поля принято говорить о гравитонах как о квантах гравитационного поля. В настоящее время формируется новая область науки – гравитационно-волновая астрономия. Есть надежда, что гравитационные эксперименты дадут новые результаты.

    На основании уравнений теории относительности отечественный математик-физик А. Фридман в 1922 г. нашел новое космологическое решение уравнений ОТО Это решение указывает на то, что наша Вселенная не стационарна, она непрерывно расширяется. Фридман нашел два варианта решения уравнений Эйнштейна, то есть два варианта возможного развития Вселенной. В зависимости от плотности материи Вселенная или будет и далее расширяться, или через какое-то время начнет сжиматься.

    В 1929 г. американский астроном Э. Хаббл экспериментально установил закон, который определяет скорость разлета галактик в зависимости от расстояния до нашей галактики. Чем дальше разбегающаяся галактика, тем больше скорость ее разбегания. Хаббл использовал эффект Доплера, в соответствии с которым у источника света, удаляющегося от наблюдателя, длина волны увеличивается, то есть смещается к красному концу спектра (краснеет).

    Таким образом, все известные научные факты подтверждают справедливость общей теории относительности, которая является современной теорией тяготения.

    3.6. Начала термодинамики. Представления об энтропии

    Общие сведения о термодинамике

    > Термолинамика – это наука о наиболее общих свойствах макроскопических тел и систем, находящихся в состоянии термодинамического равновесия, и о процессах перехода из одного состояния в другое.

    Классическая термодинамика изучает физические объекты материального мира только в состоянии термодинамического равновесия. Здесь подразумевается такое состояние, в которое с течением времени приходит система, находящаяся при определенных неизменных внешних условиях и определенной постоянной температуре окружающей среды. Для таких равновесных состояний понятие времени несущественно. Поэтому время в явном виде как параметр в термодинамике не используется. В первоначальном виде эта дисциплина называлась «механическая теория тепла». Термин «термодинамика» был введен в научную литературу в 1854 г. В. Томсоном. Равновесные процессы классической термодинамики позволяют также судить о закономерностях процессов, происходящих при установлении равновесия, то есть рассматривает пути к установлению термодинамического равновесия.

    Вместе с тем термодинамика рассматривает условия существования необратимых процессов. Например, распространение молекул газа (закон диффузии) ведет в конце концов к равновесному состоянию, а обратный переход такой системы к первоначальному состоянию термодинамика запрещает.

    Задачей термодинамики необратимых процессов сначала было изучение неравновесных процессов для состояний, не слишком сильно отличающихся от равновесного. Возникновение термодинамики необратимых процессов относится к 50-м гг. прошлого столетия. Она сформировалась на базе классической термодинамики, которая возникла во второй половине XIX в. В становлении классической термодинамики выдающуюся роль сыграли работы Н. Карно, Б. Клапейрона, Р. Клаузиуса и др. Прошло сравнительно много времени, прежде чем стало понятно, что классическая термодинамика является по существу термостатикой, а основополагающие уравнения Фурье– Ома—Фика и Навье—Стокса представляют собой элементы будущей термодинамики. Здесь следует назвать одного из пионеров нового направления в термодинамике – американского физика Л. Онсагера (Нобелевская премия 1968 г.), а также голландско-бельгийскую школу И. Пригожина, С. де Грота, П. Мазура. В 1977 г. бельгийскому физику и физико-химику русского происхождения Илье Романовичу Пригожину была присуждена Нобелевская премия по химии «за вклад в теорию неравновесной термодинамики, в особенности – в теорию диссипативных структур, и за ее применения в химии и биологии».


    Термодинамика как функция состояния

    Равенство температур во всех точках каких-то систем или частей одной системы является условием равновесия.

    Состояние однородных жидкостей или газа полностью фиксируется заданием любых двух из трех величин: температуры Г, объема V, давления р. Связь между p, V и T называется уравнением состояния. Французский физик Б. Клапейрон в 1934 г. вывел уравнение состояния для идеального газа, объединив законы Бойля-Мариотта и Гей-Люсака. Д. И. Менделеев объединил уравнения Клапейрона с законом Авогадро. Согласно закону Авогадро, при одинаковых давлениях р и температуре Г моли всех газов занимают одинаковый молярный объем Vm, поэтому для всех газов существует молярная газовая постоянная R. Тогда Уравнение Клапейрона—Менделеева можно записать в виде:

    pVm = RT.

    Числовое значение молярной газовой постоянной R = 8,31 Дж/моль · K.


    Первое начало термодинамики

    Первое начало, или первый закон термодинамики, или закон сохранения энергии для тепловых систем, удобно рассмотреть на примере работы тепловой машины. В состав тепловой машины входят источник тепла Q1, рабочее тело, например цилиндр с поршнем, под которым газ может нагреваться (?Q1) или охлаждаться холодильником, отбирающим от рабочего тела тепло ?Q2. При этом может совершаться работа ?A и изменяется внутренняя энергия ?U.

    Энергия теплового движения может превращаться в энергию механического движения, и наоборот. При этих превращениях соблюдается закон сохранения и превращения энергии. Применительно к термодинамическим процессам это и есть первое начало термодинамики, установленное в результате обобщения многовековых опытных данных. Опыт показывает, что изменение внутренней энергии ?U определяется разностью между количеством теплоты Q1, полученной системой, и работой А:

    ?U = Q1– A

    или:

    Q1= A1 + ?U.

    В дифференциальной форме:

    dQ = dA + dU.

    Первое начало термодинамики определяет вторую функцию состояния – энергию, точнее, внутреннюю энергию U, которая представляет энергию хаотического движения всех молекул, атомов, ионов и т. д., а также энергию взаимодействия этих микрочастиц. Если система не обменивается с окружающей средой энергией или веществом (изолированная система), то dU = 0, а U = const в соответствии с законом сохранения энергии. Отсюда следует, что работа А равна количеству теплоты Q, то есть периодически действующий двигатель (тепловая машина) не может совершать работу большую, чем сообщенная ему извне энергия, а это значит, что невозможно создать двигатель, который путем каких-то преобразований энергии может увеличить ее общее количество.


    Круговые процессы (циклы). Обратимые и необратимые процессы

    > Круговым процессом (циклом) называется такой процесс, при котором система проходит через ряд состояний и возвращается в исходное состояние. Такой цикл можно представить замкнутой кривой в осях P, V, где P – давление в системе, а V – ее объем. Замкнутая кривая состоит из участков, где объем увеличивается (расширение), и участка, где объем уменьшается (сжатие).

    При этом работа, совершаемая за цикл, определяется площадью, охватываемой замкнутой кривой. Цикл, который протекает через расширение, а потом сжатие, называется прямым, он используется в тепловых машинах – периодически действующих двигателях, совершающих работу за счет полученного извне тепла. Цикл, который протекает через сжатие, а потом расширение, называется обратным и используется в холодильных машинах – периодически действующих установках, в которых за счет работы внешних сил теплота переносится от одного тела к другому. В результате кругового процесса система возвращается в исходное состояние:

    ?U =0, Q = A

    Система может как получать теплоту, так и отдавать. Если система получает Q1 теплоты, а отдает Q2, то термический коэффициент полезного действия для кругового процесса


    Обратимые процессы могут происходить как в прямом, так и в обратном направлении

    В идеальном случае, если процесс происходит сначала в прямом, а затем в обратном направлении и система возвращается в исходное состояние, то в окружающей среде не происходит никаких изменений Обратимые процессы – это идеализация реальных процессов, при которых всегда происходит некоторая потеря энергии (на трение, теплопроводность и т д)

    Понятие обратимого кругового процесса ввел в физику в 1834 г французский ученый Б Клапейрон


    Идеальный цикл теплового двигателя Карно

    Когда мы говорим об обратимости процессов, следует учитывать, что это некоторая идеализация. Все реальные процессы необратимы, поэтому и циклы, по которым работают тепловые машины, также необратимы, а значит и неравновесны. Однако для упрощения количественных оценок таких циклов необходимо считать их равновесными, то есть как если бы они состояли только из равновесных процессов. Этого требует хорошо разработанный аппарат классической термодинамики.

    Знаменитый цикл идеального двигателя Карно считается равновесным обратным круговым процессом. В реальных условиях любой цикл не может быть идеальным, так как существуют потери. Он совершается между двумя источниками теплоты с постоянными температурами у теплоотдатчика Т1 и теплоприемника Т2, а также рабочим телом, в качестве которого принят идеальный газ (рис. 3.1).



    Рис. 3.1. Цикл теплового двигателя


    Полагаем, что Т1 > Т2 и отвод тепла от теплоотдатчика и подвод тепла к теплоприемнику не влияют на их температуры, T1 и T2 остаются постоянными. Обозначим параметры газа при левом крайнем положении поршня теплового двигателя: давление – Р1 объем – V1, температура Т1. Это точка 1 на графике на осях P-V. В этот момент газ (рабочее тело) взаимодействует с теплоотдатчиком, температура которого также Т1. При движении поршня вправо давление газа в цилиндре уменьшается, а объем увеличивается. Это будет продолжаться до прихода поршня в положение, определяемые точкой 2, где параметры рабочего тела (газа) примут значения P2, V2, T2. Температура в этой точке остается неизменной, так как температура газа и теплоотдатчика одинакова в процессе перехода поршня от точки 1 к точке 2 (расширение). Такой процесс, при котором Т не изменяется, называется изотермическим, а кривая 1–2 называется изотермой. В этом процессе от теплоотдатчика к рабочему телу переходит теплота Q1.

    В точке 2 цилиндр полностью изолируется от внешней среды (теплообмена нет) и при дальнейшем движении поршня вправо уменьшение давления и увеличение объема происходит по кривой 2–3, которая называется адиабатой (процесс без теплообмена с внешней средой). Когда поршень переместится в крайнее правое положение (точка 3), процесс расширения закончится и параметры будут иметь значения Р3, V3, а температура станет равной температуре теплоприемника Т2. При этом положении поршня изоляция рабочего тела снижается и оно взаимодействует с теплоприемником. Если теперь увеличивать давление на поршень, то он будет перемещаться влево при неизменной температуре Т2 (сжатие). Значит, этот процесс сжатия будет изотермическим. В этом процессе теплота Q2 перейдет от рабочего тела к тепло-приемнику. Поршень, двигаясь влево, придет в точку 4 с параметрами P4, V4 и T2, где рабочее тело вновь изолируется от внешней среды. Дальнейшее сжатие происходит по адиабате 4–1 с повышением температуры. В точке 1 сжатие заканчивается при параметрах рабочего тела P1, V1, T1. Поршень возвратился в исходное состояние. В точке 1 изоляция рабочего тела от внешней среды снимается и цикл повторяется.

    Таким образом, цикл Карно можно считать обратимым. Хотя при этом не учитывались различные сопутствующие потери (тепла в окружающую среду, на трение и некоторые другие условия идеализации).

    Коэффициент полезного действия идеального двигателя Карно:


    Анализ выражения для КПД цикла Карно позволяет сделать следующие выводы:

    1) КПД тем больше, чем больше Т1 и чем меньше Т2;

    2) КПД всегда меньше единицы;

    3) КПД равен нулю при Т1 = Т2.

    Цикл Карно дает наилучшие использования теплоты, но, как указывалось выше, он является идеализированным и в реальных условиях неосуществим. Однако значение его велико. Он позволяет определить наивысшее значение КПД теплового двигателя.


    Второе начало термодинамики. Энтропия

    Второе начало термодинамики связано с именами Н. Карно, В. Томсона (Кельвина), Р. Клаузиуса, Л. Больцмана, В. Нернста.

    Второе начало термодинамики вводит в рассмотрение новую функцию состояния – энтропию. Термин «энтропия», предложенный Р. Клаузиусом, образован от греч. entropia и означает «превращение».

    Уместно будет привести понятие «энтропия» в формулировке А. Зоммерфельда: «Каждая термодинамическая система обладает функцией состояния, называемой энтропией. Энтропия вычисляется следующим образом. Система переводится из произвольно выбранного начального состояния в соответствующее конечное состояние через последовательность состояний равновесия; вычисляются все проводимые при этом к системе порции тепла dQ, делятся каждая на соответствующую ей абсолютную температуру Т, и все полученные таким образом значения суммируются (первая часть второго начала термодинамики). При реальных (неидеальных) процессах энтропия изолированной системы возрастает (вторая часть второго начала термодинамики)».

    Учета и сохранения количества энергии еще недостаточно для того, чтобы судить о возможности того или иного процесса. Энергию следует характеризовать не только количеством, но и качеством. При этом существенно, что энергия определенного качества самопроизвольно может превращаться только в энергию более низкого качества. Величиной, определяющей качество энергии, и является энтропия.

    Процессы в живой и неживой материи в целом протекают так, что энтропия в замкнутых изолированных системах возрастает, а качество энергии понижается. В этом и есть смысл второго начала термодинамики.

    Если обозначить энтропию через S,то


    что и соответствует первой части второго начала по Зоммерфельду.

    Можно подставить выражение для энтропии в уравнение первого начала термодинамики:

    dU = T ? dS – dU.

    Эта формула известна в литературе как соотношение Гиббса. Это фундаментальное уравнение объединяет первое и второе начала термодинамики и определяет, по существу, всю равновесную термодинамику.

    Второе начало устанавливает определенное направление течения процессов в природе, то есть «стрелу времени».

    Наиболее глубоко смысл энтропии вскрывается при статической оценке энтропии. В соответствии с принципом Больцмана энтропия связана с вероятностью состояния системы известным соотношением

    S = K ? LnW,

    где W – термодинамическая вероятность, а К – постоянная Больцмана.

    Под термодинамической вероятностью, или статическим весом, понимается число различных распределений частиц по координатам и скоростям, соответствующих данному термодинамическому состоянию. При любом процессе, который протекает в изолированной системе и переводит ее из состояния 1 в состояние 2, изменение ?W термодинамической вероятности положительно или равно нулю:

    ?W = W2– W1? 0

    В случае обратимого процесса ?W = 0, то есть термодинамическая вероятность, постоянна. Если происходит необратимый процесс, то ?W > 0 и W возрастает. Это означает, что необратимый процесс переводит систему из менее вероятного состояния в более вероятное. Второе начало термодинамики является статистическим законом, оно описывает закономерности хаотического движения большого числа частиц, составляющих замкнутую систему, то есть энтропия характеризует меру беспорядочности, хаотичности частиц в системе.

    Р. Клаузиус определил второе начало термодинамики так:

    > невозможен круговой процесс, единственным результатом которого является передача теплоты от менее нагретого тела к более нагретому (1850).

    В связи с этой формулировкой в середине XIX в. была определена проблема так называемой тепловой смерти Вселенной. Рассматривая Вселенную как замкнутую систему, Р. Клаузиус, опираясь на второе начало термодинамики, утверждал, что рано или поздно энтропия Вселенной должна достигнуть своего максимума. Переход теплоты от более нагретых тел к менее нагретым приведет к тому, что температура всех тел Вселенной будет одинаковой, наступит полное тепловое равновесие и все процессы во Вселенной прекратятся – наступит тепловая смерть Вселенной.

    Ошибочность вывода о тепловой смерти Вселенной заключается в том, что нельзя применять второе начало термодинамики к системе, которая является не замкнутой, а бесконечно развивающей системой. Вселенная расширяется, галактики разбегаются со скоростями, которые нарастают. Вселенная нестационарна.

    В основу формулировок второго начала термодинамики положены постулаты, являющиеся результатом многовекового человеческого опыта. Кроме указанного постулата Клаузиуса наибольшую известность получил постулат Томсона (Кельвина), который говорит о невозможности построения вечного теплового двигателя второго рода (perpetuum mobile), то есть двигателя, полностью превращающего теплоту в работу. Согласно этому постулату, из всей теплоты, полученной от источника тепла с высокой температурой – теплоотдатчика, только часть может быть превращена в работу. Остальная часть должна быть отведена в теплоприемник с относительно низкой температурой, то есть для работы теплового двигателя необходимы по крайней мере два тепловых источника различной температуры.

    Этим и объясняется причина, по которой нельзя перевести в работу теплоту окружающей нас атмосферы или теплоту морей и океанов при отсутствии таких же масштабных источников теплоты с более низкой температурой.


    Третье начало термодинамики, или тепловая теория Нернста

    Среди функций состояния, кроме температуры Т, внутренней энергии U и энтропии S, имеются и такие, которые содержат произведение T ·S. Например, при изучении химических реакций важную роль играют такие функции состояния, как свободная энергия F = U – T · S или потенциал Гиббса Ф = U+ pV– TS. В эти функции состояния входит произведение T ·S. Однако величина S определяется лишь с точностью до произвольной постоянной S0, так как энтропия определяется через ее дифференциал dS. Следовательно, без конкретизации S0 применение функций состояния становится неопределенным. Возникает вопрос об абсолютном значении энтропии.

    Тепловая теория Нернста отвечает на этот вопрос. В формулировке Планка она сводится к утверждению: энтропия всех тел в состоянии равновесия стремится к нулю по мере приближения температуры к нулю Кельвина:

    limS =0.

    Так как энтропия определяется с точностью до аддитивной постоянной S0, то эту постоянную удобно взять равной нулю.

    Тепловая теорема была сформулирована Нерстом в начале XX в. (Нобелевская премия по физике в 1920 г.). Она не вытекает из первых двух начал, поэтому в силу своей общности с полным правом может рассматриваться как новый закон природы – третье начало термодинамики.


    Неравновесная термодинамика

    Неравновесные системы характеризуются не только термодинамическими параметрами, но и скоростью их изменения во времени и в пространстве, которая определяет потоки (процессы переноса) и термодинамические силы (градиент температуры, градиент концентрации и др.).

    Появление потоков в системе нарушает статистическое равновесие. В любой физической системе всегда происходят процессы, старающиеся вернуть систему в состояние равновесия. Происходит как бы противоборство между процессами переноса, нарушающими равновесие, и внутренними процессами, старающимися его восстановить.

    Процессы в неравновесных системах обладают следующими тремя свойствами:

    1. Процессы, приводящие систему к термодинамическому равновесию (восстановление), происходят тогда, когда нет особых факторов, сохраняющих неравновесное состояние внутри самой системы. Если исходное состояние сильно неравновесно, а на фоне общего стремления системы к равновесию рождаются представляющие большой интерес подсистемы, в которых энтропия локально уменьшается, то возникают локальные подсистемы, где упорядоченность повышается. При этом общее возрастание для всей системы во много раз больше. В изолированной системе локальное уменьшение энтропии, конечно, является временным. В открытой же системе, через которую длительное время протекают мощные потоки, снижающие энтропию, могут возникнуть какие-то упорядоченные подсистемы. Они могут существовать, изменяясь и развиваясь, очень долго (пока не прекратятся питающие их потоки).

    2. Рождение локальных состояний с низкой энтропией приводит к ускорению общего роста энтропии всей системы. Благодаря упорядоченным подсистемам вся система в целом движется быстрее ко все более неупорядоченным состояниям, к термодинамическому равновесию.

    Наличие упорядоченной подсистемы может в миллионы и более раз ускорить выход всей системы из «благополучного» метастабильного состояния. В природе ничего «даром» не дается.

    3. Упорядоченные состояния представляют собой диссипативные структуры, которые требуют для своего становления большого притока энергии. Такие системы реагируют на малые изменения внешних условий более чутко и более разнообразно, чем термодинамическое равновесное состояние. Они могут легко разрушаться или же превращаться в новые упорядоченные структуры.

    Возникновение диссипативных структур носит пороговый характер. Неравновесная термодинамика связала пороговый характер с неустойчивостью. Новая структура всегда является результатом неустойчивости и возникает из флуктуации.

    Выдающейся заслугой неравновесной термодинамики является установление того, что самоорганизация присуща не только «живым системам». Способность к самоорганизации является общим свойством всех открытых систем, у которых возможен обмен энергией с окружающей средой. При этом именно неравновесность служит источником упорядоченности.

    Этот вывод является основным тезисом для круга идей группы И. Пригожина.

    Совместимость второго начала термодинамики со способностью систем к самоорганизации – одно из крупнейших достижений современной неравновесной термодинамики.


    Энтропия и вещество. Изменение энтропии в химических реакциях

    При повышении температуры растет скорость различных видов движения частиц. Отсюда число микросостояний частиц, а соответственно и термодинамическая вероятность W, и энтропия вещества растут. При переходе вещества из твердого состояния в жидкое увеличивается неупорядоченность частиц и соответственно энтропия (?Sплавл). Особенно резко растет неупорядоченность и соответственно энтропия при переходе вещества из жидкого состояния в газообразное (ASкипен). Энтропия увеличивается при превращении кристаллического вещества в аморфное. Чем выше твердость вещества, тем меньше его энтропия. Увеличение атомов в молекуле и усложнение молекул ведет к увеличению энтропии. Энтропия измеряется в Кал/моль·К (энтропийная единица) и в Дж/моль·К При расчетах применяют значения энтропии в так называемом стандартном состоянии, то есть при 298,15 К (25 °C). Тогда энтропию обозначают S0298. Например, энтропия кислорода 03S0298 = 238,8 ед. э., а 02S0298 = 205 ед. э.

    Абсолютные значения энтропии многих веществ являются табличными и приведены в справочниках. Например:

    Н20(ж) = 70,8; Н20(г) = 188,7; СО(г) = 197,54;

    СН4(r) = 186,19; Н2(г) = 130,58; НС1(г) = 186,69; НСl(р) = 56,5;

    СН30Н(ж) = 126,8; Са(к) = 41,4; Са(ОН)2(к) = 83,4; С(алмаз) = 2,38;

    С(графит) = 5,74 и т. д.

    Примечание: ж – жидкость, г – газ, к – кристаллы; р – раствор.

    Изменение энтропии системы в результате химической реакции (?S) равно сумме энтропий продуктов реакции за вычетом энтропий исходных веществ. Например:

    СН420(г) = С0 + 3Н2– здесь ?S0298 = S0co.298 + 3S0H2.298S0H4.298S0H2.298 =

    197,54 = 3 · 130,58 – 188,19 – 188,7 = 214,39 Дж/моль · К.

    В результате реакции энтропия возросла (AS > 0), возросло число молей газообразных веществ.


    Информационная энтропия. Энтропия в биологии

    Информационная энтропия служит мерой неопределенности сообщений. Сообщения описываются множеством величин x1, x2 xn, которые могут быть, например, словами: p1, p2…, pn. Информационную энтропию обозначают Sn или Hu. Для определенного дискретного статистического распределения вероятностей Pi используют следующее выражение:


    при условии:


    Значение Sn = 0, если какая-либо вероятность Pi = 1, а остальные вероятности появления других величин равны нулю. В этом случае информация достоверна, то есть неопределенность в информации отсутствует. Информационная энтропия принимает наибольшее значение, когда Pi равны между собой и неопределенность в информации максимальна.

    Общая энтропия нескольких сообщений равна сумме энтропий отдельных сообщений (свойство аддитивности).

    Американский математик Клод Шеннон, один из создателей математической теории информации, использовал понятие энтропии для определения критической скорости передачи информации и при создании «помехоустойчивых кодов». Такой подход (использование из статистической термодинамики вероятностной функции энтропии) оказался плодотворными в других направлениях естествознания.

    Понятие энтропии, как показал впервые Э. Шредингер (1944 г.), а затем Л. Бриллюэн и др., существенно и для понимания многих явлений жизни и даже деятельности человека.

    Теперь ясно, что с помощью вероятностной функции энтропии можно анализировать все стадии перехода системы от состояния полного хаоса, которому соответствуют равные значения вероятностей и максимальное значение энтропии, к состоянию предельно возможной упорядоченности, которому соответствует единственно возможное состояние элементов системы.

    Живой организм с точки зрения протекающих в нем физико-химических процессов можно рассматривать как сложную открытую систему, находящуюся в неравновесном, нестационарном состоянии. Для живых организмов характерна сбалансированность процессов обмена, ведущих к уменьшению энтропии. Конечно, с помощью энтропии нельзя охарактеризовать жизнедеятельность в целом, так как жизнь не сводится к простой совокупности физико-химических процессов. Ей свойственны другие сложные процессы саморегуляции.

    Вопросы для самопроверки

    1. Сформулируйте законы движения Ньютона.

    2. Перечислите основные законы сохранения.

    3. Назовите общие условия справедливости законов сохранения.

    4. Объясните существо принципа симметрии и связь этого принципа с законами сохранения.

    5. Сформулируйте принцип дополнительности и принцип неопределенности Гейзенберга.

    6. В чем состоит «крушение» лапласовского детерминизма?

    7. Как формулируются постулаты Эйнштейна в СТО?

    8. Назовите и объясните релятивистские эффекты.

    9. В чем состоит суть ОТО?

    10. Почему невозможен вечный двигатель первого рода?

    11. Объясните понятие кругового процесса в термодинамике и идеальный цикл Карно.

    12. Объясните понятие энтропии как функцию состояния системы.

    13. Сформулируйте второе начало термодинамики.

    14. Объясните суть понятия «неравновесная термодинамика».

    15. Как качественно определяется изменение энтропии при химических реакциях?







     


    Главная | В избранное | Наш E-MAIL | Добавить материал | Нашёл ошибку | Другие сайты | Наверх