|
||||
|
|
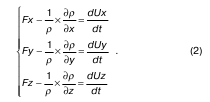
22. Дифференциальные уравнения движения невязкой жидкости Уравнение Эйлера служит одним из фундаментальных в гидравлике, наряду с уравнением Бернулли и некоторыми другими. Изучение гидравлики как таковой практически начинается с уравнения Эйлера, которое служит исходным пунктом для выхода на другие выражения. Попробуем вывести это уравнение. Пусть имеем бесконечно малый параллелепипед с гранями dxdydz в невязкой жидкости с плотностью ?. Он заполнен жидкостью и движется как составная часть потока. Какие силы действуют на выделенный объект? Это силы массы и силы поверхностных давлений, которые действуют на dV = dxdydz со стороны жидкости, в которонаходится выделенный dV. Как силы массы пропорциональны массе, так и поверхностные силы пропорциональны площадям, на которые оказывается давление. Эти силы направлены к граням вовнутрь по нормали. Определим математическое выражение этих сил. Назовем, как и при получении уравнения неразрывности, грани параллелепипеда: 1, 2 – перпендикулярные к оси ОХ и параллельные оси ОY; 3, 4 – перпендикулярные к оси OY и параллельные оси ОХ; 5, 6 – перпендикулярные к оси OZ и параллельные оси ОХ. Теперь нужно определить, какая сила приложена к центру масс параллелепипеда. Сила, приложенная к центру массы параллелепипеда, которая и заставляет эту жидкость совершать движение, есть сумма найденных сил, то есть ![]() Получили уравнение движения параллелепипеда с dV1 по направлению оси Х. Делим (1) на массу ?dxdydz: ![]() Полученная система уравнений (2) есть искомое уравнение движения невязкой жидкости – уравнение Эйлера. К трем уравнениям (2) добавляются еще два уравнения, поскольку неизвестных пять, и решается система из пяти уравнений с пятью неизвестными: одним из двух дополнительных уравнений является уравнение неразрывности. Еще одним уравнением является уравнение состояния. Например, для несжимаемой жидкости уравнением состояния может быть условие ? = const. Уравнение состояния должно быть выбрано таким образом, чтобы оно содержало хотя бы одно из пяти неизвестных. |
|
||
|
Главная | В избранное | Наш E-MAIL | Добавить материал | Нашёл ошибку | Другие сайты | Наверх |
||||
|
|
||||