|
||||
|
|
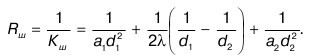
56. Передача теплоты через шаровую стенку Пусть имеется полый шар с внутренним и внешним радиусами соответственно г1 и г2 коэффициент теплопроводности I которого постоянен. При заданных граничных условиях третьего рода будут также определены коэффициенты теплоотдачи на поверхностях шара a1 и a2 и температуры внутренней и внешней сред соответственно Tж1 и Tж2. Коэффициенты a1,a2 будут постоянными во времени, а температуры Tж1,Tж2 – постоянными и во времени, и по поверхностям. При стационарном режиме теплопередачи полный тепловой поток Q, переданный через однородную сферическую стенку от горячей среды к холодной, будет постоянным для всех изотермических поверхностей и может быть определен тремя уравнениями. ![]() где d1,d2 – внутренний и наружный диаметры шара; a1,a2 коэффициенты теплоотдачи от горячей среды к стенке и от стенки к холодной среде; I– коэффициент теплопроводности материала стенки; T1,Т2 – температуры внутренней и наружной стенок. где DT = Тж1 – Тж2 – полный температурный напор; Кш – коэффициент теплопередачи шаровой стенки (Вт/град). ![]() Величина обратная Кш называется термическим сопротивлением теплопередачи шаровой стенки: ![]() |
|
||
|
Главная | В избранное | Наш E-MAIL | Добавить материал | Нашёл ошибку | Другие сайты | Наверх |
||||
|
|
||||